Phone:
+1 877 302 8632
Fax:
+1 888 205 9894 (Toll-free)
E-Mail:
orders@antibodies-online.com

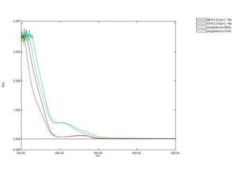
Progesterone peptide (Ovalbumin)

Reactivity: All Species Host: Synthetic Imm, SDS, WB
Catalog No. ABIN5666358
$2,100.00
Plus shipping costs $50.00
1 mg
Shipping to: United States
Delivery in 15 to 19 Business Days

Quick Overview for Progesterone peptide (Ovalbumin) (ABIN5666358)

Target

Progesterone

Origin

All Species

Source

  • 1
Synthetic

Application

Immunogen (Imm), SDS-PAGE (SDS), Western Blotting (WB)
  • Purification tag / Conjugate

    This Progesterone peptide is labelled with Ovalbumin.

    Purity

    >95 %
  • Application Notes

    Optimal working dilution should be determined by the investigator.

    Restrictions

    For Research Use only
  • Format

    Lyophilized

    Buffer

    PBS, pH 7.4.
  • Target

    Progesterone

    Target Type

    Hormone

    Background

    Alternative Names: P4, Pregn-4-Ene-3,20-Dione
You are here:
Chat with us!