Phone:
+1 877 302 8632
Fax:
+1 888 205 9894 (Toll-free)
E-Mail:
orders@antibodies-online.com

CIC ELISA Kits

(Capicua Homolog (CIC))

Choose one of 2 CIC ELISA kits from our product listing based on 1 validation image.

Discover our premium CIC ELISA kits designed for precise and reproducible CIC quantification. Our portfolio, sourced from a wide range of trusted manufacturers, enables reliable detection across various species such as Monkey, Rat and accommodates numerous sample types including Plasma, Serum, Tissue Homogenate.

Use our intuitive search, filter, and comparison tools to easily identify the most suitable kit for your needs. Each product page includes comprehensive validation data, literature references, and user reviews. In contrast to comparison-only resources, our platform allows you to conveniently purchase ELISA kits directly, ensuring an efficient and transparent ordering experience. Explore our range of CIC ELISA kits below and place your order with confidence to advance your research.

Alternative names for CIC are cicb, CIC, Cic.

2 results

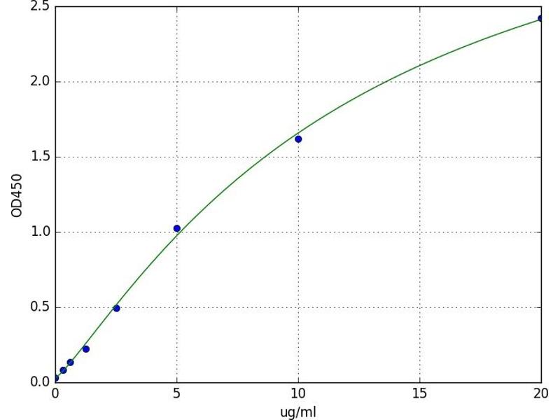
CIC Reactivity: Monkey Colorimetric Sandwich ELISA 0.31 μg/mL - 20 μg/mL Plasma, Serum, Tissue Homogenate
Catalog No. ABIN5524145
$782.77
Plus shipping costs $50.00
96 tests
Shipping to: United States
Delivery in 13 to 17 Business Days
 
CIC Reactivity: Rat Colorimetric 19.53-5000 pg/mL Plasma, Serum
Catalog No. ABIN832471
$946.00
Plus shipping costs $50.00
96 tests (More quantities available)
Shipping to: United States
Delivery in 13 to 17 Business Days
 
  • Type Kit
    • Kit
  • Application ELISA
    • ELISA
  • Reactivity
    • Monkey
    • Rat
  • Images available
  • Method Type
    • Sandwich ELISA
  • Analytical Method
    • Quantitative
  • Detection Method
    • Colorimetric
  • Plate
    • Pre-coated
  • Conjugate
    • Un-conjugated
  • Sample
    • Plasma
    • Serum
    • Tissue Homogenate
  • Supplier
    • CUSABIO
    • Wuhan Fine biotech

Aliases for CIC ELISA Kits

capicua transcriptional repressor b (cicb) ELISA Kits
capicua transcriptional repressor (CIC) ELISA Kits
capicua transcriptional repressor (Cic) ELISA Kits
1200010B10Rik ELISA Kits
CIC ELISA Kits
mKIAA0306 ELISA Kits
wu:fb93c01 ELISA Kits
You are here:
Chat with us!