Phone:
+1 877 302 8632
Fax:
+1 888 205 9894 (Toll-free)
E-Mail:
orders@antibodies-online.com

Troponin T ELISA Kit

This Colorimetric ELISA kit is designed for the quantitative measurement of Rat Troponin T. There is 1 publication available.
Catalog No. ABIN5519635
$577.85
Plus shipping costs $50.00
96 tests
Shipping to: United States
Delivery in 13 to 17 Business Days

Quick Overview for Troponin T ELISA Kit (ABIN5519635)

Target

See all Troponin T (Tn T) ELISA Kits
Troponin T (Tn T)

Reactivity

  • 2
  • 2
  • 2
  • 1
  • 1
Rat

Detection Method

Colorimetric

Method Type

Sandwich ELISA

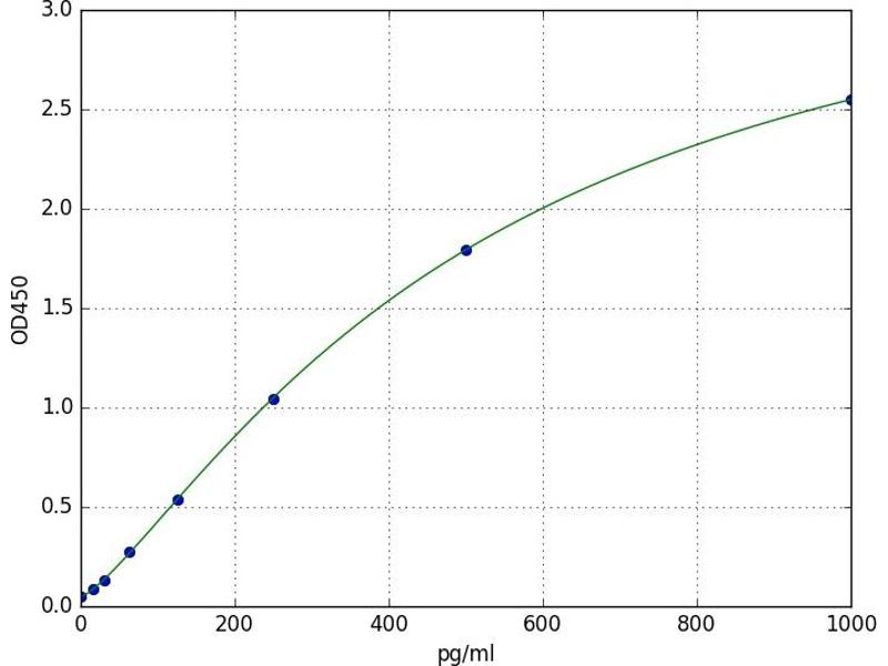
Detection Range

15.63 pg/mL - 1000 pg/mL

Application

ELISA

Sample Type

Plasma, Serum, Tissue Homogenate
  • Minimum Detection Limit

    15.63 pg/mL

    Purpose

    For quantitative detection in serum, plasma, tissue homogenates and other biological fluids.

    Analytical Method

    Quantitative

    Specificity

    Tn-T

    Sensitivity

    9.375 pg/mL

    Components

    - ELISA Microplate
    - Lyophilized Standard
    - Sample / Standard Dilution Buffer
    - Biotin-labeled Antibody (Concentrated)
    - Antibody Dilution Buffer
    - HRP-Streptavidin Conjugate(SABC)
    - SABC Dilution Buffer
    - TMB Substrate
    - Stop Solution
    - Wash Buffer (25X)
    - Plate Sealer
    - Product Description
  • Application Notes

    Optimal working dilution should be determined by the investigator.

    Comment

    Sandwich ELISA, Double Antibody

    Sample Volume

    100 μL

    Plate

    Pre-coated

    Restrictions

    For Research Use only
  • Storage

    4 °C

    Storage Comment

    4 °C for 6 months

    Expiry Date

    6 months
  • Bora, Erdoğan, Yiğittürk, Erbaş, Parlak: "The Effects of Lipid Emulsion, Magnesium Sulphate and Metoprolol in Amitriptyline-Induced Cardiovascular Toxicity in Rats." in: Cardiovascular toxicology, Vol. 18, Issue 6, pp. 547-556, (2019) (PubMed).

  • Target See all Troponin T (Tn T) ELISA Kits

    Troponin T (Tn T)

    Alternative Name

    Tn-T(Troponin T)

    Background

    Tn-T
You are here:
Chat with us!