Phone:
+1 877 302 8632
Fax:
+1 888 205 9894 (Toll-free)
E-Mail:
orders@antibodies-online.com

8-Hydroxydeoxyguanosine ELISA Kit

This Colorimetric ELISA kit is designed for the quantitative measurement of Various Species 8-Hydroxydeoxyguanosine. There is 1 publication available.
Catalog No. ABIN5519689
$577.85
Plus shipping costs $50.00
96 tests
Shipping to: United States
Delivery in 13 to 17 Business Days

Quick Overview for 8-Hydroxydeoxyguanosine ELISA Kit (ABIN5519689)

Target

See all 8-Hydroxydeoxyguanosine products
8-Hydroxydeoxyguanosine

Reactivity

  • 3
  • 3
  • 2
  • 2
  • 1
Various Species

Detection Method

Colorimetric

Method Type

Competition ELISA

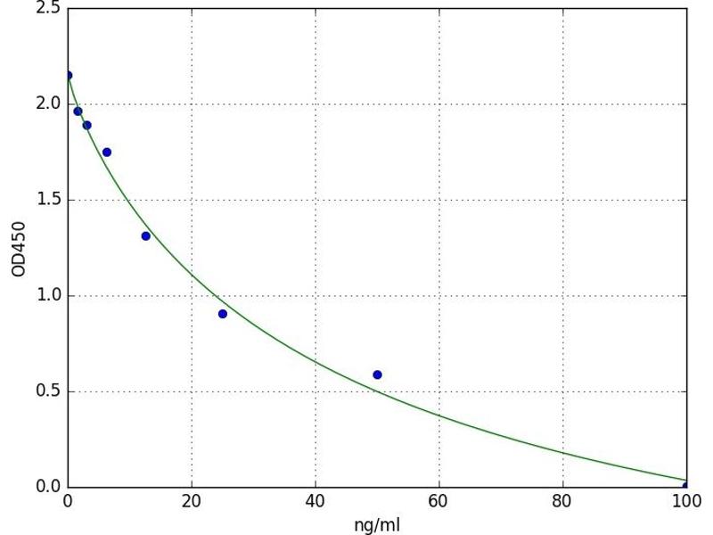
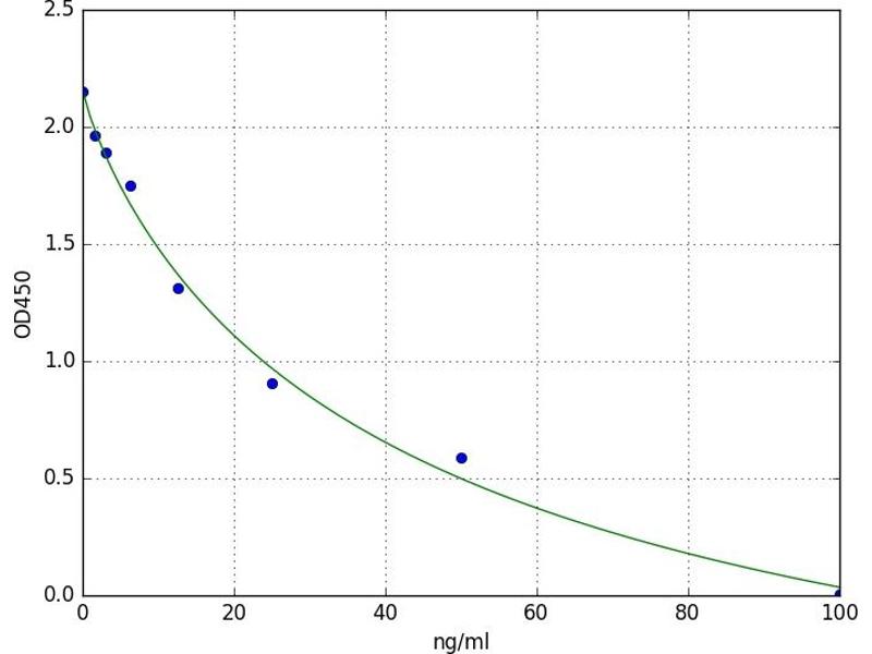
Detection Range

1.56 ng/mL - 100 ng/mL

Application

ELISA

Sample Type

Plasma, Serum, Tissue Homogenate
  • Minimum Detection Limit

    1.56 ng/mL

    Purpose

    For quantitative detection in serum, plasma, tissue homogenates and other biological fluids.

    Analytical Method

    Quantitative

    Specificity

    8-OHdG(8-Hydroxydeoxyguanosine)

    Sensitivity

    0.938 ng/mL

    Components

    - ELISA Microplate
    - Lyophilized Standard
    - Sample / Standard Dilution Buffer
    - Biotin-labeled Antibody (Concentrated)
    - Antibody Dilution Buffer
    - HRP-Streptavidin Conjugate(SABC)
    - SABC Dilution Buffer
    - TMB Substrate
    - Stop Solution
    - Wash Buffer (25X)
    - Plate Sealer
    - Product Description
  • Application Notes

    Optimal working dilution should be determined by the investigator.

    Comment

    Competitive ELISA, Coated with Antigen

    Sample Volume

    50 μL

    Plate

    Pre-coated

    Restrictions

    For Research Use only
  • Storage

    4 °C

    Storage Comment

    4 °C for 6 months

    Expiry Date

    6 months
  • Nour Eldin, El-Readi, Nour Eldein, Alfalki, Althubiti, Mohamed Kamel, Eid, Al-Amodi, Mirza: "8-Hydroxy-2'-deoxyguanosine as a Discriminatory Biomarker for Early Detection of Breast Cancer." in: Clinical breast cancer, (2018) (PubMed).

  • Target See all 8-Hydroxydeoxyguanosine products

    8-Hydroxydeoxyguanosine

    Target Type

    Chemical

    Background

    8-OHdG(8-Hydroxydeoxyguanosine)
You are here:
Chat with us!