Phone:
+1 877 302 8632
Fax:
+1 888 205 9894 (Toll-free)
E-Mail:
orders@antibodies-online.com

HSP70 ELISA Kit

This Colorimetric ELISA kit is designed for the quantitative measurement of Chicken HSP70.
Catalog No. ABIN5520802
$577.85
Plus shipping costs $50.00
96 tests
Shipping to: United States
Delivery in 13 to 17 Business Days

Quick Overview for HSP70 ELISA Kit (ABIN5520802)

Target

See all HSP70 ELISA Kits
HSP70 (Heat Shock Protein 70 (HSP70))

Reactivity

  • 8
  • 7
  • 6
  • 5
  • 5
  • 4
  • 3
  • 2
  • 2
  • 2
  • 2
  • 2
  • 1
Chicken

Detection Method

Colorimetric

Method Type

Sandwich ELISA

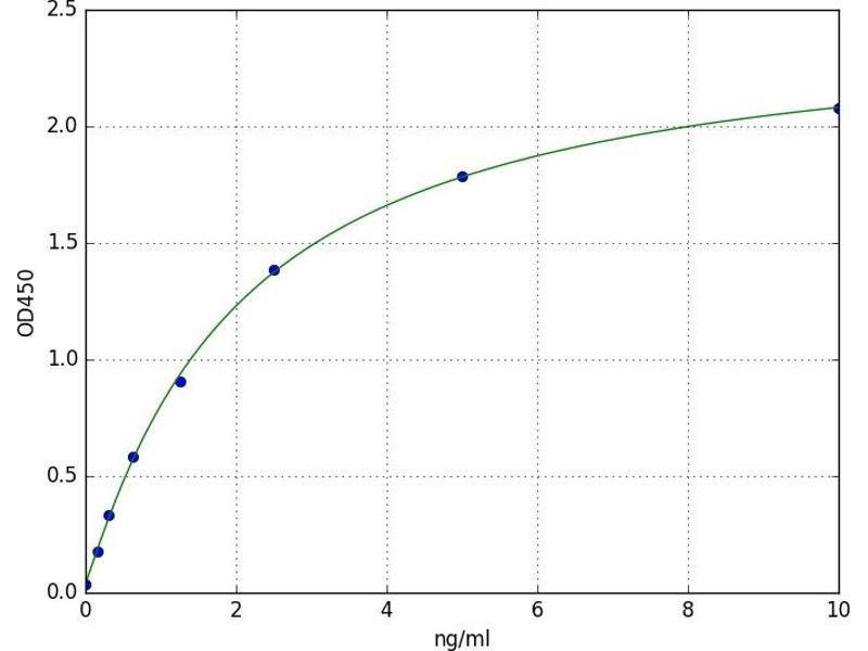
Detection Range

0.156 ng/mL - 10 ng/mL

Application

ELISA

Sample Type

Plasma, Serum, Tissue Homogenate
  • Minimum Detection Limit

    0.156 ng/mL

    Purpose

    For quantitative detection of HSP70 in serum, plasma, tissue homogenates.

    Analytical Method

    Quantitative

    Specificity

    This assay has high sensitivity and excellent specificity for detection of HSP70. No significant cross-reactivity or interference between HSP70 and analogues was observed. Note: Limited by current skills and knowledge, it is difficult for us to complete the cross-reactivity detection between HSP70 and all the analogues, therefore, cross reaction may still exist.

    Sensitivity

    0.094 ng/mL

    Components

    - ELISA Microplate
    - Lyophilized Standard
    - Sample / Standard Dilution Buffer
    - Biotin-labeled Antibody (Concentrated)
    - Antibody Dilution Buffer
    - HRP-Streptavidin Conjugate(SABC)
    - SABC Dilution Buffer
    - TMB Substrate
    - Stop Solution
    - Wash Buffer (25X)
    - Plate Sealer
    - Product Description
  • Application Notes

    Optimal working dilution should be determined by the investigator.

    Comment

    Sandwich ELISA, Double Antibody

    Sample Volume

    100 μL

    Plate

    Pre-coated

    Restrictions

    For Research Use only
  • Storage

    4 °C

    Storage Comment

    1. For unopened kit: All the reagents should be kept according to the labels on vials. The Reference Standard and the 96-well stripe plate should be stored at -20 °C upon receipt while the other reagents should be stored at 4 °C.
    2. For used kit: When the kit is used, the remaining reagents need to be stored according to the above storage condition. Besides, please return the unused wells to the foil pouch containing the desiccant pack, and zip-seal the foil pouch.

    Expiry Date

    6 months
  • Target See all HSP70 ELISA Kits

    HSP70 (Heat Shock Protein 70 (HSP70))

    Alternative Name

    HSP70

    Background

    DAAP-21F2.7, FLJ54328, HSP70-1B, HSP70-2, HSPA1A, heat shock 70kD protein 1B

    UniProt

    P08106
You are here:
Chat with us!