Phone:
+1 877 302 8632
Fax:
+1 888 205 9894 (Toll-free)
E-Mail:
orders@antibodies-online.com

Sphingosine 1 Phosphate ELISA Kit

This Colorimetric ELISA kit is designed for the quantitative measurement of Human Sphingosine 1 Phosphate. There is 1 publication available.
Catalog No. ABIN5521213
$577.85
Plus shipping costs $50.00
96 tests
Shipping to: United States
Delivery in 13 to 17 Business Days

Quick Overview for Sphingosine 1 Phosphate ELISA Kit (ABIN5521213)

Target

Sphingosine 1 Phosphate

Reactivity

  • 1
  • 1
Human

Detection Method

Colorimetric

Method Type

Competition ELISA

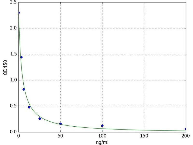
Detection Range

3.125 ng/mL - 200 ng/mL

Application

ELISA

Sample Type

Plasma, Serum, Tissue Homogenate
  • Minimum Detection Limit

    3.125 ng/mL

    Purpose

    For quantitative detection of Sphingosine 1 Phosphate in serum, plasma, tissue homogenates.

    Analytical Method

    Quantitative

    Specificity

    This assay has high sensitivity and excellent specificity for detection of Sphingosine 1 Phosphate. No significant cross-reactivity or interference between Sphingosine 1 Phosphate and analogues was observed. Note: Limited by current skills and knowledge, it is difficult for us to complete the cross-reactivity detection between Sphingosine 1 Phosphate and all the analogues, therefore, cross reaction may still exist.

    Sensitivity

    1.875 ng/mL

    Components

    - ELISA Microplate
    - Lyophilized Standard
    - Sample / Standard Dilution Buffer
    - Biotin-labeled Antibody (Concentrated)
    - Antibody Dilution Buffer
    - HRP-Streptavidin Conjugate(SABC)
    - SABC Dilution Buffer
    - TMB Substrate
    - Stop Solution
    - Wash Buffer (25X)
    - Plate Sealer
    - Product Description
  • Application Notes

    Optimal working dilution should be determined by the investigator.

    Comment

    Competition ELISA, Double Antibody

    Sample Volume

    100 μL

    Plate

    Pre-coated

    Restrictions

    For Research Use only
  • Storage

    4 °C

    Storage Comment

    1. For unopened kit: All the reagents should be kept according to the labels on vials. The Reference Standard and the 96-well stripe plate should be stored at -20 °C upon receipt while the other reagents should be stored at 4 °C.
    2. For used kit: When the kit is used, the remaining reagents need to be stored according to the above storage condition. Besides, please return the unused wells to the foil pouch containing the desiccant pack, and zip-seal the foil pouch.

    Expiry Date

    6 months
  • Aslan, Kıraç, Kaya, Özcan, Salim, Küpesiz: "Decreased Serum Levels of Sphingomyelins and Ceramides in Sickle Cell Disease Patients." in: Lipids, Vol. 53, Issue 3, pp. 313-322, (2018) (PubMed).

  • Target

    Sphingosine 1 Phosphate

    Background

    S1P

    UniProt

    Q14703
You are here:
Chat with us!