Phone:
+1 877 302 8632
Fax:
+1 888 205 9894 (Toll-free)
E-Mail:
orders@antibodies-online.com

Sestrin 2 ELISA Kit

Human Sestrin 2 ELISA Kit, Colorimetric assay for quantification of Human Sestrin 2, that has been mentioned in 2+ publications.
Catalog No. ABIN5521614
$577.85
Plus shipping costs $50.00
96 tests
Shipping to: United States
Delivery in 13 to 17 Business Days

Quick Overview for Sestrin 2 ELISA Kit (ABIN5521614)

Target

See all Sestrin 2 (SESN2) ELISA Kits
Sestrin 2 (SESN2)

Reactivity

  • 3
  • 3
  • 1
Human

Detection Method

Colorimetric

Method Type

Sandwich ELISA

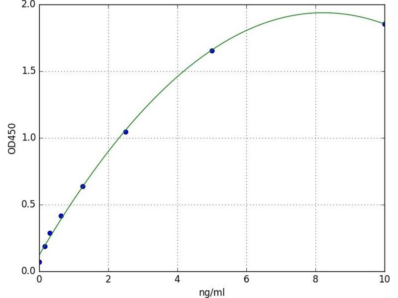
Detection Range

0.156 ng/mL - 10 ng/mL

Application

ELISA

Sample Type

Plasma, Serum, Tissue Homogenate
  • Minimum Detection Limit

    0.156 ng/mL

    Purpose

    For quantitative detection of SESN2 in serum, plasma, tissue homogenates.

    Analytical Method

    Quantitative

    Specificity

    This assay has high sensitivity and excellent specificity for detection of SESN2. No significant cross-reactivity or interference between SESN2 and analogues was observed. Note: Limited by current skills and knowledge, it is difficult for us to complete the cross-reactivity detection between SESN2 and all the analogues, therefore, cross reaction may still exist.

    Sensitivity

    0.094 ng/mL

    Components

    - ELISA Microplate
    - Lyophilized Standard
    - Sample / Standard Dilution Buffer
    - Biotin-labeled Antibody (Concentrated)
    - Antibody Dilution Buffer
    - HRP-Streptavidin Conjugate(SABC)
    - SABC Dilution Buffer
    - TMB Substrate
    - Stop Solution
    - Wash Buffer (25X)
    - Plate Sealer
    - Product Description
  • Application Notes

    Optimal working dilution should be determined by the investigator.

    Comment

    Sandwich ELISA, Double Antibody

    Sample Volume

    100 μL

    Plate

    Pre-coated

    Restrictions

    For Research Use only
  • Storage

    4 °C

    Storage Comment

    1. For unopened kit: All the reagents should be kept according to the labels on vials. The Reference Standard and the 96-well stripe plate should be stored at -20 °C upon receipt while the other reagents should be stored at 4 °C.
    2. For used kit: When the kit is used, the remaining reagents need to be stored according to the above storage condition. Besides, please return the unused wells to the foil pouch containing the desiccant pack, and zip-seal the foil pouch.

    Expiry Date

    6 months
  • Mohany, Al Rugaie: "Association of serum sestrin 2 and betatrophin with serum neutrophil gelatinase associated lipocalin levels in type 2 diabetic patients with diabetic nephropathy." in: Journal of diabetes and metabolic disorders, Vol. 19, Issue 1, pp. 249-256, (2020) (PubMed).

    Tayyar, Tayyar, Kozali, Karakus, Eser, Abide Yayla, Yalcin, Dag, Eroglu: "Maternal serum sestrin 2 levels in preeclampsia and their relationship with the severity of the disease." in: Hypertension in pregnancy, Vol. 38, Issue 1, pp. 13-19, (2019) (PubMed).

  • Target See all Sestrin 2 (SESN2) ELISA Kits

    Sestrin 2 (SESN2)

    Alternative Name

    SESN2

    Background

    SESN2/Sestrin-2/Hi95/SEST2

    UniProt

    P58004
You are here:
Chat with us!