Phone:
+1 877 302 8632
Fax:
+1 888 205 9894 (Toll-free)
E-Mail:
orders@antibodies-online.com

Hyaluronic Acid ELISA Kit

Various Species Hyaluronic Acid ELISA Kit, Colorimetric assay for quantification of Various Species Hyaluronic Acid, that has been mentioned in 1 publication.
Catalog No. ABIN5522100
$577.85
Plus shipping costs $50.00
96 tests
Shipping to: United States
Delivery in 13 to 17 Business Days

Quick Overview for Hyaluronic Acid ELISA Kit (ABIN5522100)

Target

See all Hyaluronic Acid (HA) ELISA Kits
Hyaluronic Acid (HA)

Reactivity

  • 4
  • 3
  • 2
  • 2
  • 1
  • 1
  • 1
  • 1
  • 1
  • 1
  • 1
  • 1
  • 1
Various Species

Detection Method

Colorimetric

Method Type

Competition ELISA

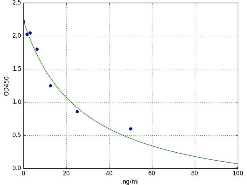
Detection Range

1.56 ng/mL - 100 ng/mL

Application

ELISA

Sample Type

Cell Culture Supernatant, Cell Lysate, Plasma, Serum, Tissue Lysate
  • Minimum Detection Limit

    1.56 ng/mL

    Purpose

    For quantitative detection in serum, plasma, tissue homogenates and other biological fluids.

    Analytical Method

    Quantitative

    Specificity

    HA(Hyaluronic Acid)

    Sensitivity

    0.938 ng/mL

    Components

    • Pre-coated, ready to use 96-well strip plate
    • Plate sealer for 96 wells
    • Standard
    • Standard Dilution Buffer
    • Biotin-labeled Antibody (Lyophilized)
    • Purified water
    • Antibody Dilution Buffer
    • HRP-Streptavidin Conjugate (SABC)
    • SABC Dilution Buffer
    • TMB Substrate
    • Stop Solution
    • Wash Buffer (25 x concentrate)
    • Instruction manual
  • Application Notes

    Optimal working dilution should be determined by the investigator.

    Comment

    Competitive ELISA, Coated with Antigen

    Sample Volume

    50 μL

    Plate

    Pre-coated

    Restrictions

    For Research Use only
  • Storage

    4 °C

    Storage Comment

    4 °C for 6 months

    Expiry Date

    6 months
  • Hao, Chen, Zhi, Zhang, Chen, Yu: "Comparison of bone marrow-vs. adipose tissue-derived mesenchymal stem cells for attenuating liver fibrosis." in: Experimental and therapeutic medicine, Vol. 14, Issue 6, pp. 5956-5964, (2017) (PubMed).

  • Target See all Hyaluronic Acid (HA) ELISA Kits

    Hyaluronic Acid (HA)

    Alternative Name

    Hyaluronic Acid

    Target Type

    Chemical

    Background

    HA(Hyaluronic Acid)
You are here:
Chat with us!