Phone:
+1 877 302 8632
Fax:
+1 888 205 9894 (Toll-free)
E-Mail:
orders@antibodies-online.com

NOS2 ELISA Kit

This Colorimetric ELISA kit is designed for the quantitative measurement of Mouse NOS2.
Catalog No. ABIN5522467
$577.85
Plus shipping costs $50.00
96 tests
Shipping to: United States
Delivery in 13 to 17 Business Days

Quick Overview for NOS2 ELISA Kit (ABIN5522467)

Target

See all NOS2 ELISA Kits
NOS2 (Nitric Oxide Synthase 2, Inducible (NOS2))

Reactivity

  • 11
  • 7
  • 6
  • 3
  • 3
  • 2
  • 2
  • 2
  • 1
  • 1
  • 1
  • 1
Mouse

Detection Method

Colorimetric

Method Type

Sandwich ELISA

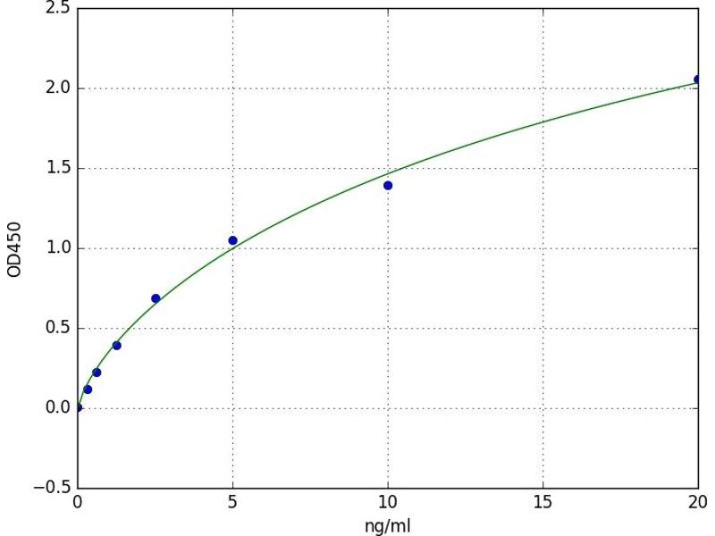
Detection Range

0.313 ng/mL - 20 ng/mL

Application

ELISA

Sample Type

Plasma, Serum, Tissue Homogenate
  • Minimum Detection Limit

    0.313 ng/mL

    Purpose

    For quantitative detection of NOS2/iNOS in serum, plasma, tissue homogenates.

    Analytical Method

    Quantitative

    Specificity

    This assay has high sensitivity and excellent specificity for detection of NOS2/iNOS. No significant cross- reactivity or interference between NOS2/iNOS and analogues was observed. Note: Limited by current skills and knowledge, it is difficult for us to complete the cross-reactivity detection between NOS2/iNOS and all the analogues, therefore, cross reaction may still exist.

    Sensitivity

    0.188 ng/mL

    Components

    - ELISA Microplate
    - Lyophilized Standard
    - Sample / Standard Dilution Buffer
    - Biotin-labeled Antibody (Concentrated)
    - Antibody Dilution Buffer
    - HRP-Streptavidin Conjugate(SABC)
    - SABC Dilution Buffer
    - TMB Substrate
    - Stop Solution
    - Wash Buffer (25X)
    - Plate Sealer
    - Product Description
  • Application Notes

    Optimal working dilution should be determined by the investigator.

    Comment

    Sandwich ELISA, Double Antibody

    Sample Volume

    100 μL

    Plate

    Pre-coated

    Restrictions

    For Research Use only
  • Storage

    4 °C

    Storage Comment

    1. For unopened kit: All the reagents should be kept according to the labels on vials. The Reference Standard and the 96-well stripe plate should be stored at -20 °C upon receipt while the other reagents should be stored at 4 °C.
    2. For used kit: When the kit is used, the remaining reagents need to be stored according to the above storage condition. Besides, please return the unused wells to the foil pouch containing the desiccant pack, and zip-seal the foil pouch.

    Expiry Date

    6 months
  • Target See all NOS2 ELISA Kits

    NOS2 (Nitric Oxide Synthase 2, Inducible (NOS2))

    Alternative Name

    NOS2/iNOS

    Background

    NOS2/iNOS/NOS2A/HEP-NOS/I-NOS/Hepatocyte NOS/Peptidyl-cysteine S-nitrosylase NOS2/Inducible NO synthase/Inducible NOS/INOS/NOS/NOS, type II/NOS type II

    UniProt

    P29477

    Pathways

    Retinoic Acid Receptor Signaling Pathway, Cellular Response to Molecule of Bacterial Origin, Inositol Metabolic Process, Regulation of Leukocyte Mediated Immunity, Positive Regulation of Immune Effector Process
You are here:
Chat with us!