Phone:
+1 877 302 8632
Fax:
+1 888 205 9894 (Toll-free)
E-Mail:
orders@antibodies-online.com

ADIPOQ ELISA Kit

This Colorimetric ELISA kit is designed for the quantitative measurement of Human ADIPOQ. There is 1 publication available.
Catalog No. ABIN5522845
$577.85
Plus shipping costs $50.00
96 tests
Shipping to: United States
Delivery in 13 to 17 Business Days

Quick Overview for ADIPOQ ELISA Kit (ABIN5522845)

Target

See all ADIPOQ ELISA Kits
ADIPOQ (Adiponectin (ADIPOQ))

Reactivity

  • 18
  • 15
  • 12
  • 5
  • 3
  • 3
  • 2
  • 2
  • 2
  • 2
  • 1
  • 1
  • 1
  • 1
  • 1
  • 1
Human

Detection Method

Colorimetric

Method Type

Sandwich ELISA

Detection Range

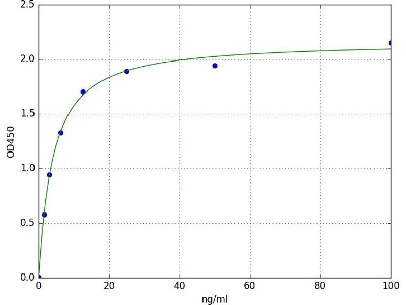
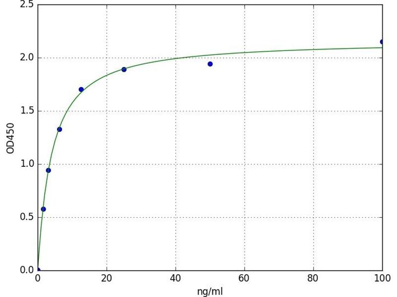
1.563 ng/mL - 100 ng/mL

Application

ELISA

Sample Type

Plasma, Serum, Tissue Homogenate
  • Minimum Detection Limit

    1.563 ng/mL

    Purpose

    For quantitative detection of ADP in serum, plasma, tissue homogenates.

    Analytical Method

    Quantitative

    Specificity

    This assay has high sensitivity and excellent specificity for detection of ADP. No significant cross-reactivity or interference between ADP and analogues was observed. Note: Limited by current skills and knowledge, it is difficult for us to complete the cross-reactivity detection between ADP and all the analogues, therefore, cross reaction may still exist.

    Sensitivity

    0.938 ng/mL

    Components

    - ELISA Microplate
    - Lyophilized Standard
    - Sample / Standard Dilution Buffer
    - Biotin-labeled Antibody (Concentrated)
    - Antibody Dilution Buffer
    - HRP-Streptavidin Conjugate(SABC)
    - SABC Dilution Buffer
    - TMB Substrate
    - Stop Solution
    - Wash Buffer (25X)
    - Plate Sealer
    - Product Description
  • Application Notes

    Optimal working dilution should be determined by the investigator.

    Comment

    Sandwich ELISA, Double Antibody

    Sample Volume

    100 μL

    Plate

    Pre-coated

    Restrictions

    For Research Use only
  • Storage

    4 °C

    Storage Comment

    1. For unopened kit: All the reagents should be kept according to the labels on vials. The Reference Standard and the 96-well stripe plate should be stored at -20 °C upon receipt while the other reagents should be stored at 4 °C.
    2. For used kit: When the kit is used, the remaining reagents need to be stored according to the above storage condition. Besides, please return the unused wells to the foil pouch containing the desiccant pack, and zip-seal the foil pouch.

    Expiry Date

    6 months
  • Jonas, Magoń, Podolec, Kopeć: "Triglyceride-to-High-Density Lipoprotein Cholesterol Ratio and Systemic Inflammation in Patients with Idiopathic Pulmonary Arterial Hypertension." in: Medical science monitor : international medical journal of experimental and clinical research, Vol. 25, pp. 746-753, (2019) (PubMed).

  • Target See all ADIPOQ ELISA Kits

    ADIPOQ (Adiponectin (ADIPOQ))

    Alternative Name

    Adiponectin

    Background

    Adiponectin/AdipoQ/ADP/Acrp30/GBP28/ACDC/ADPN

    UniProt

    Q15848
You are here:
Chat with us!