Phone:
+1 877 302 8632
Fax:
+1 888 205 9894 (Toll-free)
E-Mail:
orders@antibodies-online.com

BACE1 ELISA Kit

This Colorimetric ELISA kit is designed for the quantitative measurement of Rat BACE1.
Catalog No. ABIN5522911
$577.85
Plus shipping costs $50.00
96 tests
Shipping to: United States
Delivery in 13 to 17 Business Days

Quick Overview for BACE1 ELISA Kit (ABIN5522911)

Target

See all BACE1 ELISA Kits
BACE1 (Beta-secretase 1 (BACE1))

Reactivity

  • 8
  • 7
  • 5
  • 2
  • 1
  • 1
  • 1
  • 1
  • 1
  • 1
  • 1
  • 1
Rat

Detection Method

Colorimetric

Method Type

Sandwich ELISA

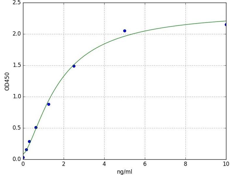
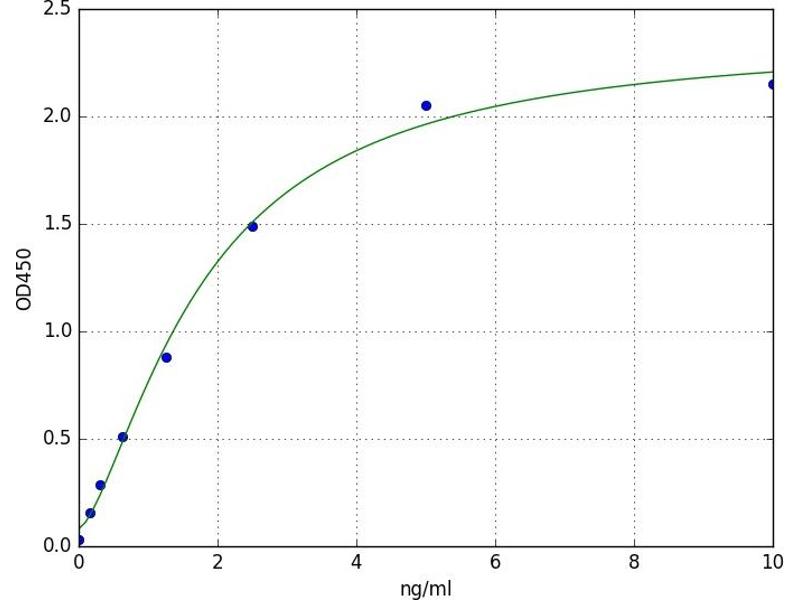
Detection Range

0.15 ng/mL - 10 ng/mL

Application

ELISA

Sample Type

Plasma, Serum, Tissue Homogenate
  • Minimum Detection Limit

    0.15 ng/mL

    Purpose

    For quantitative detection in serum, plasma, tissue homogenates and other biological fluids.

    Analytical Method

    Quantitative

    Specificity

    BACE1/APP beta-secretase/ASP2/Aspartyl protease 2/BACEAsp 2/beta-secretase 1/beta-secretase 1 precursor variant 1/beta-site amyloid beta A4 precursor protein-cleaving enzyme/Beta-site amyloid precursor protein cleaving enzyme 1/Beta-site APP cleaving enzy

    Sensitivity

    0.094 ng/mL

    Components

    - ELISA Microplate
    - Lyophilized Standard
    - Sample / Standard Dilution Buffer
    - Biotin-labeled Antibody (Concentrated)
    - Antibody Dilution Buffer
    - HRP-Streptavidin Conjugate(SABC)
    - SABC Dilution Buffer
    - TMB Substrate
    - Stop Solution
    - Wash Buffer (25X)
    - Plate Sealer
    - Product Description
  • Application Notes

    Optimal working dilution should be determined by the investigator.

    Comment

    Sandwich ELISA, Double Antibody

    Sample Volume

    100 μL

    Plate

    Pre-coated

    Restrictions

    For Research Use only
  • Storage

    4 °C

    Storage Comment

    4 °C for 6 months

    Expiry Date

    6 months
  • Target See all BACE1 ELISA Kits

    BACE1 (Beta-secretase 1 (BACE1))

    Alternative Name

    BACE1

    Background

    BACE1/APP beta-secretase/ASP2/Aspartyl protease 2/BACEAsp 2/beta-secretase 1/beta-secretase 1 precursor variant 1/beta-site amyloid beta A4 precursor protein-cleaving enzyme/Beta-site amyloid precursor protein cleaving enzyme 1/Beta-site APP cleaving enzy

    UniProt

    P56819
You are here:
Chat with us!