Phone:
+1 877 302 8632
Fax:
+1 888 205 9894 (Toll-free)
E-Mail:
orders@antibodies-online.com

Fibrinogen ELISA Kit

Human Fibrinogen ELISA Kit, Colorimetric assay for quantification of Human Fibrinogen, that has been mentioned in 2+ publications.
Catalog No. ABIN5523345
$577.85
Plus shipping costs $50.00
96 tests
Shipping to: United States
Delivery in 13 to 17 Business Days

Quick Overview for Fibrinogen ELISA Kit (ABIN5523345)

Target

See all Fibrinogen ELISA Kits
Fibrinogen

Reactivity

  • 11
  • 8
  • 7
  • 4
  • 4
  • 3
  • 2
  • 2
  • 1
  • 1
  • 1
  • 1
  • 1
Human

Detection Method

Colorimetric

Method Type

Sandwich ELISA

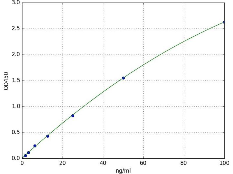
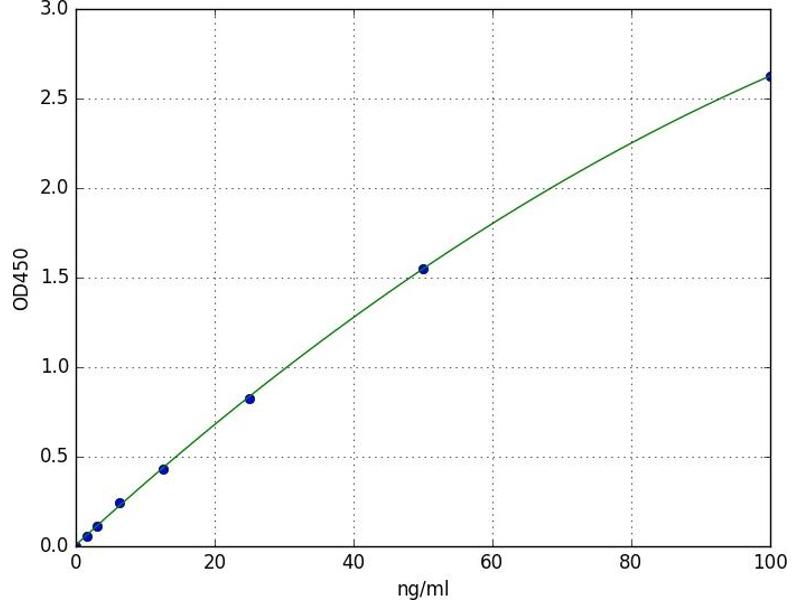
Detection Range

1.563 ng/mL - 100 ng/mL

Application

ELISA

Sample Type

Plasma, Serum, Tissue Homogenate
  • Minimum Detection Limit

    1.563 ng/mL

    Purpose

    For quantitative detection of FG in serum, plasma, tissue homogenates.

    Analytical Method

    Quantitative

    Specificity

    This assay has high sensitivity and excellent specificity for detection of FG. No significant cross-reactivity or interference between FG and analogues was observed. Note: Limited by current skills and knowledge, it is difficult for us to complete the cross-reactivity detection between FG and all the analogues, therefore, cross reaction may still exist.

    Sensitivity

    0.938 ng/mL

    Components

    - ELISA Microplate
    - Lyophilized Standard
    - Sample / Standard Dilution Buffer
    - Biotin-labeled Antibody (Concentrated)
    - Antibody Dilution Buffer
    - HRP-Streptavidin Conjugate(SABC)
    - SABC Dilution Buffer
    - TMB Substrate
    - Stop Solution
    - Wash Buffer (25X)
    - Plate Sealer
    - Product Description
  • Application Notes

    Optimal working dilution should be determined by the investigator.

    Comment

    Sandwich ELISA, Double Antibody

    Sample Volume

    100 μL

    Plate

    Pre-coated

    Restrictions

    For Research Use only
  • Storage

    4 °C

    Storage Comment

    1. For unopened kit: All the reagents should be kept according to the labels on vials. The Reference Standard and the 96-well stripe plate should be stored at -20 °C upon receipt while the other reagents should be stored at 4 °C.
    2. For used kit: When the kit is used, the remaining reagents need to be stored according to the above storage condition. Besides, please return the unused wells to the foil pouch containing the desiccant pack, and zip-seal the foil pouch.

    Expiry Date

    6 months
  • Amadio, Porro, Sandrini, Fiorelli, Bonomi, Cavalca, Brambilla, Camera, Veglia, Tremoli, Barbieri: "Patho- physiological role of BDNF in fibrin clotting." in: Scientific reports, Vol. 9, Issue 1, pp. 389, (2019) (PubMed).

    Miners, Schulz, Love: "Differing associations between Aβ accumulation, hypoperfusion, blood-brain barrier dysfunction and loss of PDGFRB pericyte marker in the precuneus and parietal white matter in Alzheimer's disease." in: Journal of cerebral blood flow and metabolism : official journal of the International Society of Cerebral Blood Flow and Metabolism, Vol. 38, Issue 1, pp. 103-115, (2018) (PubMed).

  • Target See all Fibrinogen ELISA Kits

    Fibrinogen

    Background

    FG
You are here:
Chat with us!