Phone:
+1 877 302 8632
Fax:
+1 888 205 9894 (Toll-free)
E-Mail:
orders@antibodies-online.com

HbA1c ELISA Kit

This Colorimetric ELISA kit is designed for the quantitative measurement of Rat HbA1c. There is 1 publication available.
Catalog No. ABIN5523355
$481.54
Plus shipping costs $50.00
96 tests
Shipping to: United States
Delivery in 13 to 17 Business Days

Quick Overview for HbA1c ELISA Kit (ABIN5523355)

Target

See all HbA1c ELISA Kits
HbA1c (Glycated Hemoglobin HbA1c (HbA1c))

Reactivity

  • 9
  • 7
  • 7
  • 1
  • 1
  • 1
  • 1
  • 1
  • 1
  • 1
  • 1
  • 1
Rat

Detection Method

Colorimetric

Method Type

Sandwich ELISA

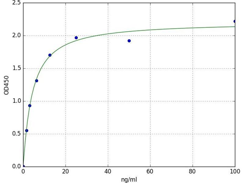
Detection Range

1.56 ng/mL - 100 ng/mL

Application

ELISA

Sample Type

Red Blood Cell Lysate
  • Minimum Detection Limit

    1.56 ng/mL

    Purpose

    For quantitative detection of HbA1C in Red Blood Cell Lysis and other biological samples.

    Analytical Method

    Quantitative

    Specificity

    HbA1C/Glycosylated Hemoglobin/Hemoglobin A1c

    Sensitivity

    0.938 ng/mL

    Components

    - ELISA Microplate
    - Lyophilized Standard
    - Sample / Standard Dilution Buffer
    - Biotin-labeled Antibody (Concentrated)
    - Antibody Dilution Buffer
    - HRP-Streptavidin Conjugate(SABC)
    - SABC Dilution Buffer
    - TMB Substrate
    - Stop Solution
    - Wash Buffer (25X)
    - Plate Sealer
    - Product Description
  • Application Notes

    Optimal working dilution should be determined by the investigator.

    Comment

    Sandwich ELISA, Double Antibody

    Sample Volume

    100 μL

    Plate

    Pre-coated

    Restrictions

    For Research Use only
  • Storage

    4 °C

    Storage Comment

    4 °C for 6 months

    Expiry Date

    6 months
  • Balaha, Kandeel, Kabel: "Phloretin either alone or in combination with duloxetine alleviates the STZ-induced diabetic neuropathy in rats." in: Biomedicine & pharmacotherapy, Vol. 101, pp. 821-832, (2018) (PubMed).

  • Target See all HbA1c ELISA Kits

    HbA1c (Glycated Hemoglobin HbA1c (HbA1c))

    Alternative Name

    HbA1C

    Background

    HbA1C/Glycosylated Hemoglobin/Hemoglobin A1c

    UniProt

    P01946
You are here:
Chat with us!