Phone:
+1 877 302 8632
Fax:
+1 888 205 9894 (Toll-free)
E-Mail:
orders@antibodies-online.com

Luteinizing Hormone ELISA Kit

This Colorimetric ELISA kit is designed for the quantitative measurement of Rat Luteinizing Hormone. There is 1 publication available.
Catalog No. ABIN5523391
$577.85
Plus shipping costs $50.00
96 tests
Shipping to: United States
Delivery in 13 to 17 Business Days

Quick Overview for Luteinizing Hormone ELISA Kit (ABIN5523391)

Target

See all Luteinizing Hormone (LH) ELISA Kits
Luteinizing Hormone (LH)

Reactivity

  • 7
  • 6
  • 6
  • 4
  • 4
  • 4
  • 3
  • 3
  • 3
  • 3
  • 3
  • 1
  • 1
  • 1
Rat

Detection Method

Colorimetric

Method Type

Competition ELISA

Detection Range

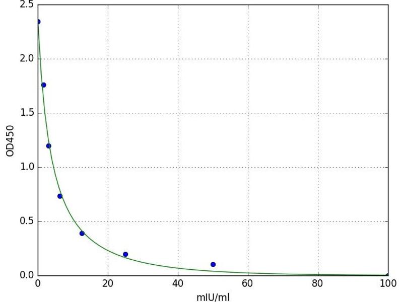
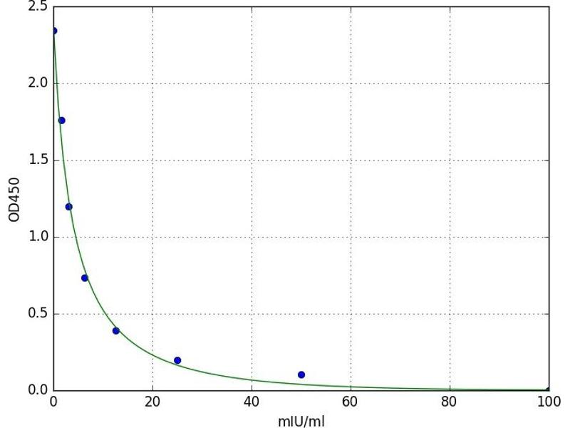
0.313 mIU/mL - 20 mIU/mL

Application

ELISA

Sample Type

Plasma, Serum, Tissue Homogenate
  • Minimum Detection Limit

    0.313 mIU/mL

    Purpose

    For quantitative detection in serum, plasma, tissue homogenates and other biological fluids.

    Analytical Method

    Quantitative

    Specificity

    LH(Luteinizing Hormone)

    Sensitivity

    0.188 mIU/mL

    Components

    - ELISA Microplate
    - Lyophilized Standard
    - Sample / Standard Dilution Buffer
    - Biotin-labeled Antibody (Concentrated)
    - Antibody Dilution Buffer
    - HRP-Streptavidin Conjugate(SABC)
    - SABC Dilution Buffer
    - TMB Substrate
    - Stop Solution
    - Wash Buffer (25X)
    - Plate Sealer
    - Product Description
  • Application Notes

    Optimal working dilution should be determined by the investigator.

    Comment

    Competitive ELISA, Coated with Antigen

    Sample Volume

    50 μL

    Plate

    Pre-coated

    Restrictions

    For Research Use only
  • Storage

    4 °C

    Storage Comment

    4 °C for 6 months

    Expiry Date

    6 months
  • Maity, Perveen, Dash, Jana, Khatun, Dey, Mandal, Chattopadhyay: "Arjunolic Acid Improves the Serum Level of Vitamin B12 and Folate in the Process of the Attenuation of Arsenic Induced Uterine Oxidative Stress." in: Biological trace element research, Vol. 182, Issue 1, pp. 78-90, (2018) (PubMed).

  • Target See all Luteinizing Hormone (LH) ELISA Kits

    Luteinizing Hormone (LH)

    Alternative Name

    Luteinizing Hormone

    Target Type

    Hormone

    Background

    LH(Luteinizing Hormone)

    UniProt

    P01230
You are here:
Chat with us!