Phone:
+1 877 302 8632
Fax:
+1 888 205 9894 (Toll-free)
E-Mail:
orders@antibodies-online.com

NFkB ELISA Kit

This Colorimetric ELISA kit is designed for the quantitative measurement of Rat NFkB. There is 1 publication available.
Catalog No. ABIN5523538
$577.85
Plus shipping costs $50.00
96 tests
Shipping to: United States
Delivery in 13 to 17 Business Days

Quick Overview for NFkB ELISA Kit (ABIN5523538)

Target

See all NFkB ELISA Kits
NFkB (Nuclear Factor kappa B (NFkB))

Reactivity

  • 8
  • 6
  • 4
  • 3
  • 3
  • 3
  • 2
  • 2
  • 2
  • 2
  • 2
  • 2
Rat

Detection Method

Colorimetric

Method Type

Sandwich ELISA

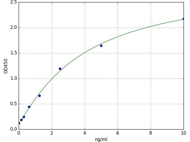
Detection Range

0.15 ng/mL - 10 ng/mL

Application

ELISA

Sample Type

Plasma, Serum, Tissue Homogenate
  • Minimum Detection Limit

    0.15 ng/mL

    Purpose

    For quantitative detection in serum, plasma, tissue homogenates and other biological fluids.

    Analytical Method

    Quantitative

    Specificity

    NF-κB

    Sensitivity

    0.094 ng/mL

    Components

    - ELISA Microplate
    - Lyophilized Standard
    - Sample / Standard Dilution Buffer
    - Biotin-labeled Antibody (Concentrated)
    - Antibody Dilution Buffer
    - HRP-Streptavidin Conjugate(SABC)
    - SABC Dilution Buffer
    - TMB Substrate
    - Stop Solution
    - Wash Buffer (25X)
    - Plate Sealer
    - Product Description
  • Application Notes

    Optimal working dilution should be determined by the investigator.

    Comment

    Sandwich ELISA, Double Antibody

    Sample Volume

    100 μL

    Plate

    Pre-coated

    Restrictions

    For Research Use only
  • Storage

    4 °C

    Storage Comment

    4 °C for 6 months

    Expiry Date

    6 months
  • Jana, Maity, Perveen, Dash, Jana, Dey, De, Chattopadhyay et al.: "Attenuation of utero-toxicity, metabolic dysfunction and inflammation by soy protein concentrate in rats exposed to fluoridated water: consequence of hyperlipidemia in parallel with ..." in: Environmental science and pollution research international, Vol. 25, Issue 36, pp. 36462-36473, (2019) (PubMed).

  • Target See all NFkB ELISA Kits

    NFkB (Nuclear Factor kappa B (NFkB))

    Alternative Name

    NF-kappaB

    Background

    NF-κB

    Pathways

    Ubiquitin Proteasome Pathway, S100 Proteins
You are here:
Chat with us!