Phone:
+1 877 302 8632
Fax:
+1 888 205 9894 (Toll-free)
E-Mail:
orders@antibodies-online.com

GFAP ELISA Kit

Rat GFAP ELISA Kit, Colorimetric assay for quantification of Rat GFAP, that has been mentioned in 1 publication.
Catalog No. ABIN5523651
$577.85
Plus shipping costs $50.00
96 tests
Shipping to: United States
Delivery in 13 to 17 Business Days

Quick Overview for GFAP ELISA Kit (ABIN5523651)

Target

See all GFAP ELISA Kits
GFAP (Glial Fibrillary Acidic Protein (GFAP))

Reactivity

  • 8
  • 7
  • 6
  • 2
  • 2
  • 2
  • 1
  • 1
  • 1
  • 1
  • 1
  • 1
Rat

Detection Method

Colorimetric

Method Type

Sandwich ELISA

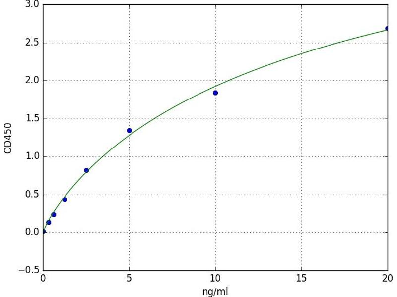
Detection Range

0.31 ng/mL - 20 ng/mL

Application

ELISA

Sample Type

Plasma, Serum, Tissue Homogenate
  • Minimum Detection Limit

    0.31 ng/mL

    Purpose

    For quantitative detection in serum, plasma, tissue homogenates and other biological fluids.

    Analytical Method

    Quantitative

    Specificity

    Gfap/FLJ45472/glial fibrillary acidic protein

    Sensitivity

    0.188 ng/mL

    Components

    - ELISA Microplate
    - Lyophilized Standard
    - Sample / Standard Dilution Buffer
    - Biotin-labeled Antibody (Concentrated)
    - Antibody Dilution Buffer
    - HRP-Streptavidin Conjugate(SABC)
    - SABC Dilution Buffer
    - TMB Substrate
    - Stop Solution
    - Wash Buffer (25X)
    - Plate Sealer
    - Product Description
  • Application Notes

    Optimal working dilution should be determined by the investigator.

    Comment

    Sandwich ELISA, Double Antibody

    Sample Volume

    100 μL

    Plate

    Pre-coated

    Restrictions

    For Research Use only
  • Storage

    4 °C

    Storage Comment

    4 °C for 6 months

    Expiry Date

    6 months
  • Mohd Sairazi, Sirajudeen, Muzaimi, Mummedy, Asari, Sulaiman: "Tualang Honey Reduced Neuroinflammation and Caspase-3 Activity in Rat Brain after Kainic Acid-Induced Status Epilepticus." in: Evidence-based complementary and alternative medicine : eCAM, Vol. 2018, pp. 7287820, (2018) (PubMed).

  • Target See all GFAP ELISA Kits

    GFAP (Glial Fibrillary Acidic Protein (GFAP))

    Alternative Name

    Gfap

    Background

    Gfap/FLJ45472/glial fibrillary acidic protein

    UniProt

    P47819
You are here:
Chat with us!