Phone:
+1 877 302 8632
Fax:
+1 888 205 9894 (Toll-free)
E-Mail:
orders@antibodies-online.com

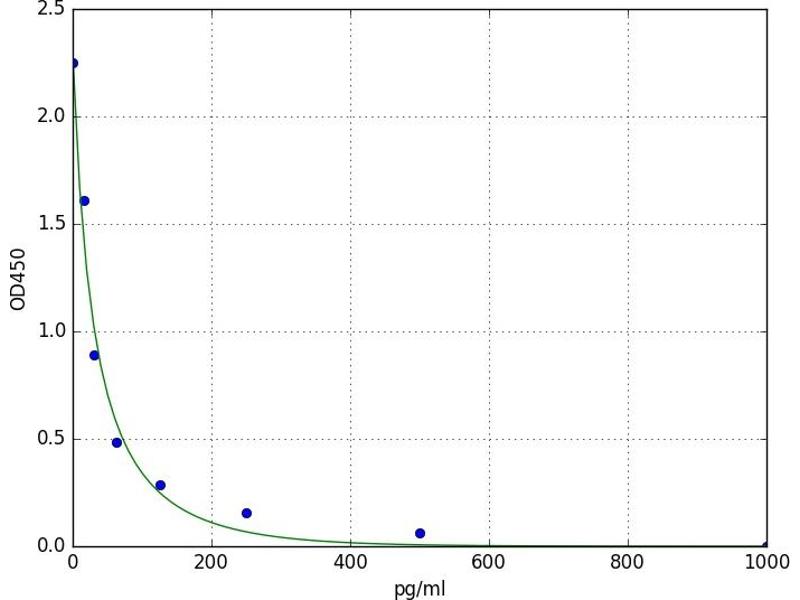
Estrogen ELISA Kit

The Rat Estrogen ELISA Kit (ABIN5524301) is a Colorimetric ELISA Kit designed to quantify Rat Estrogen.
Catalog No. ABIN5524301
$577.85
Plus shipping costs $50.00
96 tests
Shipping to: United States
Delivery in 13 to 17 Business Days

Quick Overview for Estrogen ELISA Kit (ABIN5524301)

Target

See all Estrogen products
Estrogen

Reactivity

  • 1
  • 1
  • 1
  • 1
  • 1
  • 1
  • 1
  • 1
Rat

Detection Method

Colorimetric

Method Type

Competition ELISA

Detection Range

15.6 pg/mL - 1000 pg/mL

Application

ELISA

Sample Type

Plasma, Serum, Tissue Homogenate
  • Minimum Detection Limit

    15.6 pg/mL

    Purpose

    For quantitative detection in serum, plasma, tissue homogenates and other biological fluids.

    Analytical Method

    Quantitative

    Sensitivity

    9.375 pg/mL

    Components

    • Pre-coated, ready to use 96-well strip plate
    • Plate sealer for 96 wells
    • Standard
    • Standard Dilution Buffer
    • Biotin-labeled Antibody
    • Purified water
    • Antibody Dilution Buffer
    • HRP-Streptavidin Conjugate (SABC)
    • SABC Dilution Buffer
    • TMB Substrate
    • Stop Solution
    • Wash Buffer (25 x concentrate)
    • Instruction manual
  • Application Notes

    Optimal working dilution should be determined by the investigator.

    Comment

    Competitive ELISA, Coated with Antigen

    Sample Volume

    50 μL

    Plate

    Pre-coated

    Reagent Preparation

    • Bring all reagents and samples to room temperature for 20 minutes before use.
    • Wash Buffer: If crystals have formed in the concentrate, you can warm it with 40 °C water bath Concentrated Wash Buffer into 750 mL Wash Buffer with deionized or distilled water. Put unused solution back at 2-8 °C.
    • Standards:
      1. Add 1 mL Sample Dilution Buffer into one Standard tube (labeled as zero tube), keep the tube at room temperature for 10 minutes and mix them thoroughly. Note: If the standard tube concentration higher than the range of the kit,please dilute it and labeled as zero tube.
      2. Label 7 EP tubes with 1/2, 1/4, 1/8, 1/16, 1/32, 1/64 and blank respectively. Add 0.3 mLof the Sample Dilution Buffer into each tube. Add 0.3 mLof the above Standard solution (from zero tube) into 1st tube and mix them thoroughly. Transfer 0.3 mL from 1st tube to 2nd tube and mix them thoroughly. Transfer 0.3 mL from 2nd tube to 3rd tube and mix them thoroughly, and so on. Sample Dilution Buffer was used for the blank control. Note: It is best to use Standard Solutions within 2 hours.
    • Preparation of Biotin-labeled Antibody Working Solution:
      Prepare it within 1 hour before experiment.
      1. Dissolve: Add 70ul purified water into tube and mix them thoroughly, after the biotin-labeled antibody is dissolved, please store it at 2-8°C.
      2. Calculate required total volume of the working solution: 0.05ml/well x quantity of wells. (Allow 0.1-0.2 mLmore than the total volume.)
      3. Dilute the Biotin-detection antibody with Antibody Dilution Buffer at 1:100 and mix them thoroughly. (i.e. Add 1 µL Biotin-labeled antibody into 99 µL Antibody Dilution Buffer.)
    • Preparation of HRP-Streptavidin Conjugate (SABC) Working Solution:
      Prepare it within 30 minutes before experiment.
      1. Calculate required total volume of the working solution: 0.1ml/well x quantity of wells. (Allow 0.1-0.2 mLmore than the total volume.)
      2. Dilute the SABC with SABC Dilution Buffer at 1:100 and mix them thoroughly. (i.e. Add 1 µL of SABC into 99 µL of SABC Dilution Buffer.)

    Restrictions

    For Research Use only
  • Storage

    4 °C

    Storage Comment

    4 °C for 6 months

    Expiry Date

    6 months
  • Target See all Estrogen products

    Estrogen

    Target Type

    Hormone
You are here:
Chat with us!