Phone:
+1 877 302 8632
Fax:
+1 888 205 9894 (Toll-free)
E-Mail:
orders@antibodies-online.com

Histamine ELISA Kit

The Mouse Histamine ELISA Kit (ABIN5524637) is a Colorimetric ELISA Kit designed to quantify Mouse Histamine.
Catalog No. ABIN5524637
$577.85
Plus shipping costs $50.00
96 tests
Shipping to: United States
Delivery in 13 to 17 Business Days

Quick Overview for Histamine ELISA Kit (ABIN5524637)

Target

See all Histamine (HIS) ELISA Kits
Histamine (HIS)

Reactivity

  • 5
  • 4
  • 2
  • 2
  • 1
  • 1
  • 1
  • 1
  • 1
  • 1
  • 1
  • 1
  • 1
  • 1
Mouse

Detection Method

Colorimetric

Method Type

Competition ELISA

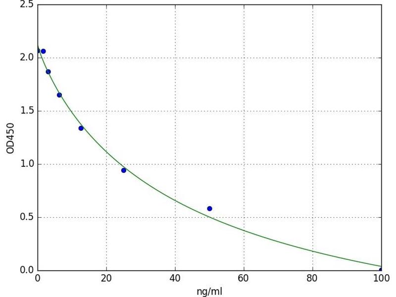
Detection Range

1.56 ng/mL - 100 ng/mL

Application

ELISA

Sample Type

Plasma, Serum, Tissue Homogenate
  • Minimum Detection Limit

    1.56 ng/mL

    Purpose

    For quantitative detection in serum, plasma, tissue homogenates and other biological fluids.

    Analytical Method

    Quantitative

    Sensitivity

    0.469 ng/mL

    Components

    • Pre-coated, ready to use 96-well strip plate
    • Plate sealer for 96 wells
    • Standard
    • Standard Dilution Buffer
    • Biotin-labeled Antibody (Lyophilized)
    • Purified water
    • Antibody Dilution Buffer
    • HRP-Streptavidin Conjugate (SABC)
    • SABC Dilution Buffer
    • TMB Substrate
    • Stop Solution
    • Wash Buffer (25 x concentrate)
    • Instruction manual
  • Application Notes

    Optimal working dilution should be determined by the investigator.

    Comment

    Competitive ELISA, Coated with Antigen

    Sample Volume

    50 μL

    Plate

    Pre-coated

    Restrictions

    For Research Use only
  • Storage

    4 °C

    Storage Comment

    4 °C for 6 months

    Expiry Date

    6 months
  • Target See all Histamine (HIS) ELISA Kits

    Histamine (HIS)

    Alternative Name

    Histamine

    Target Type

    Chemical
You are here:
Chat with us!