Phone:
+1 877 302 8632
Fax:
+1 888 205 9894 (Toll-free)
E-Mail:
orders@antibodies-online.com

Neopterin ELISA Kit

The Human Neopterin ELISA Kit (ABIN5525189) is a Colorimetric ELISA Kit designed to quantify Human Neopterin. This ELISA Kit has been cited in 1 publication.
Catalog No. ABIN5525189
$577.85
Plus shipping costs $50.00
96 tests
Shipping to: United States
Delivery in 13 to 17 Business Days

Quick Overview for Neopterin ELISA Kit (ABIN5525189)

Target

See all Neopterin (NP) products
Neopterin (NP)

Reactivity

  • 1
  • 1
  • 1
  • 1
Human

Detection Method

Colorimetric

Method Type

Competition ELISA

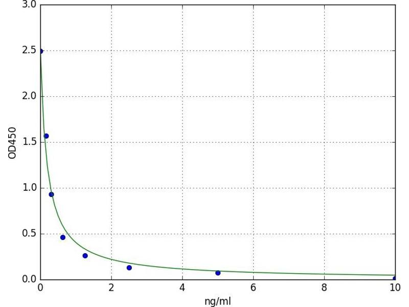
Detection Range

0.15 ng/mL - 10 ng/mL

Application

ELISA

Sample Type

Plasma, Serum, Tissue Homogenate
  • Minimum Detection Limit

    0.15 ng/mL

    Purpose

    For quantitative detection in serum, plasma, tissue homogenates and other biological fluids.

    Analytical Method

    Quantitative

    Specificity

    Neopterin

    Sensitivity

    0.094 ng/mL

    Components

    - ELISA Microplate
    - Lyophilized Standard
    - Sample / Standard Dilution Buffer
    - Biotin-labeled Antibody (Concentrated)
    - Antibody Dilution Buffer
    - HRP-Streptavidin Conjugate(SABC)
    - SABC Dilution Buffer
    - TMB Substrate
    - Stop Solution
    - Wash Buffer (25X)
    - Plate Sealer
    - Product Description
  • Application Notes

    Optimal working dilution should be determined by the investigator.

    Comment

    Competitive ELISA, Coated with Antigen

    Sample Volume

    50 μL

    Plate

    Pre-coated

    Restrictions

    For Research Use only
  • Storage

    4 °C

    Storage Comment

    4 °C for 6 months

    Expiry Date

    6 months
  • Kranaster, Hoyer, Aksay, Bumb, Müller, Zill, Schwarz, Sartorius: "Antidepressant efficacy of electroconvulsive therapy is associated with a reduction of the innate cellular immune activity in the cerebrospinal fluid in patients with depression." in: The world journal of biological psychiatry : the official journal of the World Federation of Societies of Biological Psychiatry, Vol. 19, Issue 5, pp. 379-389, (2018) (PubMed).

  • Target See all Neopterin (NP) products

    Neopterin (NP)

    Alternative Name

    Neopterin

    Target Type

    Chemical

    Background

    Neopterin
You are here:
Chat with us!