Phone:
+1 877 302 8632
Fax:
+1 888 205 9894 (Toll-free)
E-Mail:
orders@antibodies-online.com

beta2-GP1 Ab IgA ELISA Kit

This Colorimetric ELISA kit is designed for the quantitative measurement of Human beta2-GP1 Ab IgA.
Catalog No. ABIN5696460
$721.85
Plus shipping costs $50.00
96 tests
Shipping to: United States
Delivery in 13 to 17 Business Days

Quick Overview for beta2-GP1 Ab IgA ELISA Kit (ABIN5696460)

Target

See all beta2-GP1 Ab IgA products
beta2-GP1 Ab IgA (Beta2-Glycoprotein 1 Antibody IgA (beta2-GP1 Ab IgA))

Reactivity

  • 2
  • 1
  • 1
  • 1
  • 1
  • 1
  • 1
  • 1
  • 1
  • 1
  • 1
Human

Detection Method

Colorimetric

Method Type

Sandwich ELISA

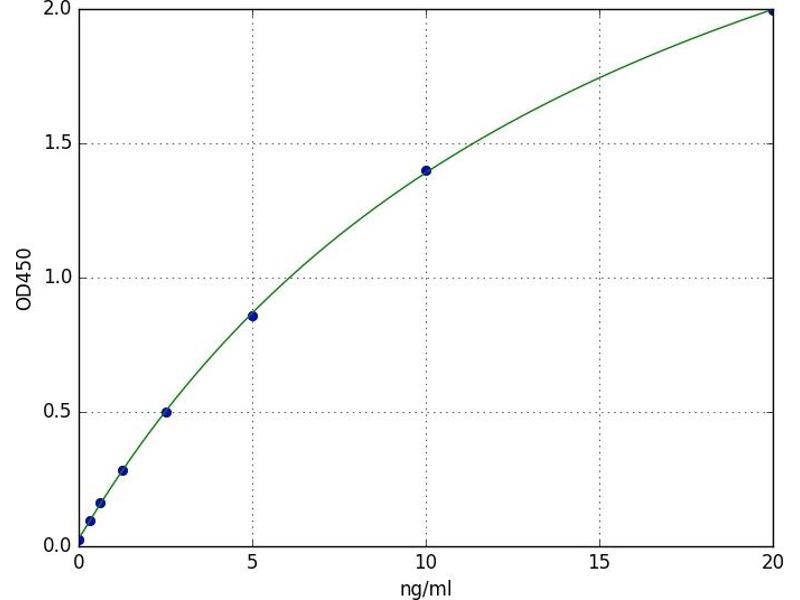
Detection Range

0.313 ng/mL - 20 ng/mL

Application

ELISA

Sample Type

Plasma, Serum, Tissue Homogenate
  • Minimum Detection Limit

    0.313 ng/mL

    Purpose

    For quantitative detection of β2-GP1 Ab IgA in serum, plasma, tissue homogenates.

    Analytical Method

    Quantitative

    Specificity

    This assay has high sensitivity and excellent specificity for detection of β2-GP1 Ab IgA. No significant cross- reactivity or interference between β2-GP1 Ab IgA and analogues was observed. Note: Limited by current skills and knowledge, it is difficult for us to complete the cross-reactivity detection between β2-GP1 Ab IgA and all the analogues, therefore, cross reaction may still exist.

    Sensitivity

    0.188 ng/mL
  • Application Notes

    Optimal working dilution should be determined by the investigator.

    Comment

    Sandwich ELISA, Double Antigen

    Plate

    Pre-coated

    Restrictions

    For Research Use only
  • Storage

    4 °C

    Storage Comment

    1. For unopened kit: All the reagents should be kept according to the labels on vials. The Reference Standard and the 96-well stripe plate should be stored at -20 °C upon receipt while the other reagents should be stored at 4 °C.
    2. For used kit: When the kit is used, the remaining reagents need to be stored according to the above storage condition. Besides, please return the unused wells to the foil pouch containing the desiccant pack, and zip-seal the foil pouch.

    Expiry Date

    6 months
  • Target See all beta2-GP1 Ab IgA products

    beta2-GP1 Ab IgA (Beta2-Glycoprotein 1 Antibody IgA (beta2-GP1 Ab IgA))

    Alternative Name

    beta2-GP1 Ab IgA (beta2-Glycoprotein 1 antibody IgA)

    Target Type

    Antibody

    Background

    β2-GP1 Ab IgA
You are here:
Chat with us!