Phone:
+1 877 302 8632
Fax:
+1 888 205 9894 (Toll-free)
E-Mail:
orders@antibodies-online.com

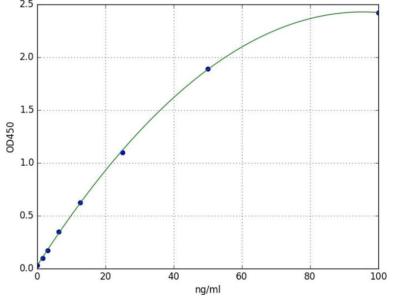
OVA sIgE ELISA Kit

Mouse OVA sIgE ELISA Kit, Colorimetric assay for quantification of Mouse OVA sIgE.
Catalog No. ABIN5696483
$577.85
Plus shipping costs $50.00
96 tests
Shipping to: United States
Delivery in 13 to 17 Business Days

Quick Overview for OVA sIgE ELISA Kit (ABIN5696483)

Target

See all OVA sIgE products
OVA sIgE (Ovalbumin Specific IgE (OVA sIgE))

Reactivity

  • 3
  • 3
  • 2
  • 2
  • 2
  • 2
  • 2
  • 1
  • 1
  • 1
  • 1
  • 1
Mouse

Detection Method

Colorimetric

Detection Range

1.56 ng/mL - 100 ng/mL

Application

ELISA
  • Minimum Detection Limit

    1.56 ng/mL

    Analytical Method

    Quantitative

    Sensitivity

    0938 ng/mL
  • Application Notes

    Optimal working dilution should be determined by the investigator.

    Comment

    Indirect ELISA

    Plate

    Pre-coated

    Restrictions

    For Research Use only
  • Storage

    4 °C

    Expiry Date

    6 months
  • Target See all OVA sIgE products

    OVA sIgE (Ovalbumin Specific IgE (OVA sIgE))

    Alternative Name

    OVA sIgE (Ovalbumin Specific IgE)

    Target Type

    Antibody

    Background

    OVA sIgE
You are here:
Chat with us!