Phone:
+1 877 302 8632
Fax:
+1 888 205 9894 (Toll-free)
E-Mail:
orders@antibodies-online.com

AChR Ab ELISA Kit

Human AChR Ab ELISA Kit, Colorimetric assay for quantification of Human AChR Ab.
Catalog No. ABIN5696513
$721.85
Plus shipping costs $50.00
96 tests
Shipping to: United States
Delivery in 13 to 17 Business Days

Quick Overview for AChR Ab ELISA Kit (ABIN5696513)

Target

See all AChR Ab products
AChR Ab (Acetylcholine Receptor Antibody (AChR Ab))

Reactivity

  • 4
  • 4
  • 2
  • 2
  • 2
  • 2
  • 2
  • 2
  • 1
  • 1
  • 1
  • 1
Human

Detection Method

Colorimetric

Method Type

Indirect ELISA

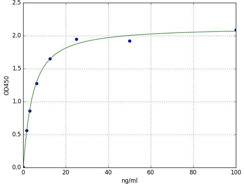
Detection Range

1.563 ng/mL - 100 ng/mL

Application

ELISA

Sample Type

Plasma, Serum, Tissue Homogenate
  • Minimum Detection Limit

    1.563 ng/mL

    Purpose

    For quantitative detection of Anti-AChR in serum, plasma, tissue homogenates.

    Analytical Method

    Quantitative

    Specificity

    This assay has high sensitivity and excellent specificity for detection of Anti-AChR. No significant cross- reactivity or interference between Anti-AChR and analogues was observed. Note: Limited by current skills and knowledge, it is difficult for us to complete the cross-reactivity detection between Anti-AChR and all the analogues, therefore, cross reaction may still exist.

    Sensitivity

    0.938 ng/mL
  • Application Notes

    Optimal working dilution should be determined by the investigator.

    Comment

    Sandwich ELISA, Double Antigen

    Plate

    Pre-coated

    Restrictions

    For Research Use only
  • Storage

    4 °C

    Storage Comment

    1. For unopened kit: All the reagents should be kept according to the labels on vials. The Reference Standard and the 96-well stripe plate should be stored at -20 °C upon receipt while the other reagents should be stored at 4 °C.
    2. For used kit: When the kit is used, the remaining reagents need to be stored according to the above storage condition. Besides, please return the unused wells to the foil pouch containing the desiccant pack, and zip-seal the foil pouch.

    Expiry Date

    6 months
  • Target See all AChR Ab products

    AChR Ab (Acetylcholine Receptor Antibody (AChR Ab))

    Alternative Name

    Anti-AChR (Anti-Acetylcholine Receptor Antibody)

    Target Type

    Antibody, Antibody

    Background

    Anti-AChR
You are here:
Chat with us!