Phone:
+1 877 302 8632
Fax:
+1 888 205 9894 (Toll-free)
E-Mail:
orders@antibodies-online.com

Cortisol ELISA Kit

The Mouse Cortisol ELISA Kit (ABIN5696530) is a Colorimetric ELISA Kit designed to quantify Mouse Cortisol. This ELISA Kit has been cited in 1 publication.
Catalog No. ABIN5696530
$577.85
Plus shipping costs $50.00
96 tests
Shipping to: United States
Delivery in 13 to 17 Business Days

Quick Overview for Cortisol ELISA Kit (ABIN5696530)

Target

See all Cortisol ELISA Kits
Cortisol

Reactivity

  • 9
  • 7
  • 4
  • 4
  • 4
  • 3
  • 3
  • 3
  • 3
  • 2
  • 2
  • 2
  • 2
  • 2
  • 2
  • 2
  • 1
Mouse

Detection Method

Colorimetric

Method Type

Competition ELISA

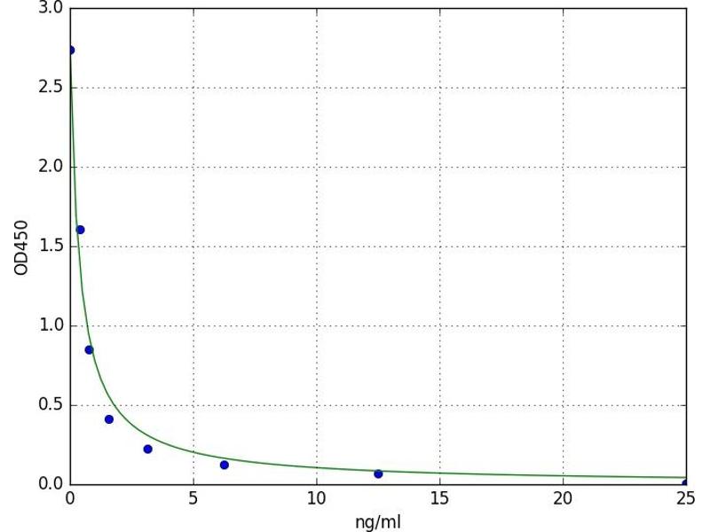
Detection Range

0.39 ng/mL - 25 ng/mL

Application

ELISA
  • Minimum Detection Limit

    0.39 ng/mL

    Analytical Method

    Quantitative

    Sensitivity

    0234 ng/mL
  • Application Notes

    Optimal working dilution should be determined by the investigator.

    Comment

    Competitive ELISA, Coated with Antigen

    Plate

    Pre-coated

    Restrictions

    For Research Use only
  • Storage

    4 °C

    Expiry Date

    6 months
  • Do, Woo: "From Gut to Brain: Alteration in Inflammation Markers in the Brain of Dextran Sodium Sulfate-induced Colitis Model Mice." in: Clinical psychopharmacology and neuroscience : the official scientific journal of the Korean College of Neuropsychopharmacology, Vol. 16, Issue 4, pp. 422-433, (2018) (PubMed).

  • Target See all Cortisol ELISA Kits

    Cortisol

    Alternative Name

    COR (Cortisol)

    Target Type

    Hormone
You are here:
Chat with us!