Chemerin ELISA Kit
Quick Overview for Chemerin ELISA Kit (ABIN5696665)
Target
See all Chemerin (RARRES2) ELISA KitsReactivity
Detection Method
Method Type
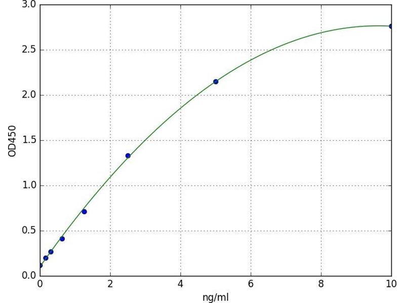
Detection Range
Application
-
-
Minimum Detection Limit
- 0.15 ng/mL
-
Analytical Method
- Quantitative
-
Sensitivity
- 0.1 ng/mL
-
-
-
-
Application Notes
- Optimal working dilution should be determined by the investigator.
-
Comment
-
Sandwich ELISA, Double Antibody
-
Plate
- Pre-coated
-
Restrictions
- For Research Use only
-
-
-
Storage
- 4 °C
-
Expiry Date
- 6 months
-
-
- Chemerin (RARRES2) (Retinoic Acid Receptor Responder (Tazarotene Induced) 2 (RARRES2))
-
Alternative Name
- CHEM (Chemerin)
-
Background
- RARRES2/TIG-2/chemerin/CHEM/RARRES2/RAR-responsive protein TIG2/retinoic acid receptor responder(tazarotene induced) 2/retinoic acid receptor responder protein 2/Tazarotene-induced gene 2 protein
-
Pathways
- Brown Fat Cell Differentiation
Target See all Chemerin (RARRES2) ELISA Kits
-