Phone:
+1 877 302 8632
Fax:
+1 888 205 9894 (Toll-free)
E-Mail:
orders@antibodies-online.com

Hemoglobin Subunit beta ELISA Kit

This Colorimetric ELISA kit is designed for the quantitative measurement of Human Hemoglobin Subunit beta.
Catalog No. ABIN5696799
$721.85
Plus shipping costs $50.00
96 tests
Shipping to: United States
Delivery in 13 to 17 Business Days

Quick Overview for Hemoglobin Subunit beta ELISA Kit (ABIN5696799)

Target

See all Hemoglobin Subunit beta (HBB) ELISA Kits
Hemoglobin Subunit beta (HBB) (Hemoglobin beta (HBB))

Reactivity

  • 9
  • 2
  • 2
  • 2
  • 2
  • 2
  • 2
  • 1
  • 1
  • 1
  • 1
  • 1
Human

Detection Method

Colorimetric

Method Type

Sandwich ELISA

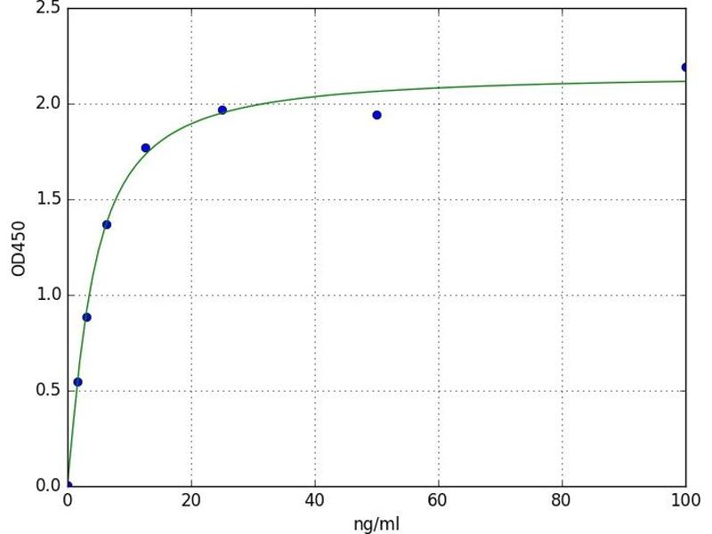
Detection Range

1.563 ng/mL - 100 ng/mL

Application

ELISA

Sample Type

Red Blood Cell Lysate
  • Minimum Detection Limit

    1.563 ng/mL

    Purpose

    For quantitative detection of HBβ in Red Blood Cell Lysis.

    Analytical Method

    Quantitative

    Specificity

    This assay has high sensitivity and excellent specificity for detection of HBβ. No significant cross-reactivity or interference between HBβ and analogues was observed. Note: Limited by current skills and knowledge, it is difficult for us to complete the cross-reactivity detection between HBβ and all the analogues, therefore, cross reaction may still exist.

    Sensitivity

    0.938 ng/mL
  • Application Notes

    Optimal working dilution should be determined by the investigator.

    Comment

    Sandwich ELISA, Double Antibody

    Plate

    Pre-coated

    Restrictions

    For Research Use only
  • Storage

    4 °C

    Storage Comment

    1. For unopened kit: All the reagents should be kept according to the labels on vials. The Reference Standard and the 96-well stripe plate should be stored at -20 °C upon receipt while the other reagents should be stored at 4 °C.
    2. For used kit: When the kit is used, the remaining reagents need to be stored according to the above storage condition. Besides, please return the unused wells to the foil pouch containing the desiccant pack, and zip-seal the foil pouch.

    Expiry Date

    6 months
  • Target See all Hemoglobin Subunit beta (HBB) ELISA Kits

    Hemoglobin Subunit beta (HBB) (Hemoglobin beta (HBB))

    Alternative Name

    HBbeta (Hemoglobin Beta)

    Target Type

    Viral Protein

    Background

    HBβ/HBB(Hemoglobin subunit beta)/Beta-globin/Hemoglobin beta chain
You are here:
Chat with us!