Phone:
+1 877 302 8632
Fax:
+1 888 205 9894 (Toll-free)
E-Mail:
orders@antibodies-online.com

IFNalpha-Ab ELISA Kit

This Colorimetric ELISA kit is designed for the quantitative measurement of Rat IFNalpha-Ab.
Catalog No. ABIN5706344
$721.85
Plus shipping costs $50.00
96 tests
Shipping to: United States
Delivery in 13 to 17 Business Days

Quick Overview for IFNalpha-Ab ELISA Kit (ABIN5706344)

Target

See all IFNalpha-Ab products
IFNalpha-Ab (Interferon-alpha Antibody (IFNalpha-Ab))

Reactivity

  • 4
  • 2
  • 1
  • 1
  • 1
  • 1
  • 1
  • 1
  • 1
  • 1
  • 1
Rat

Detection Method

Colorimetric

Method Type

Sandwich ELISA

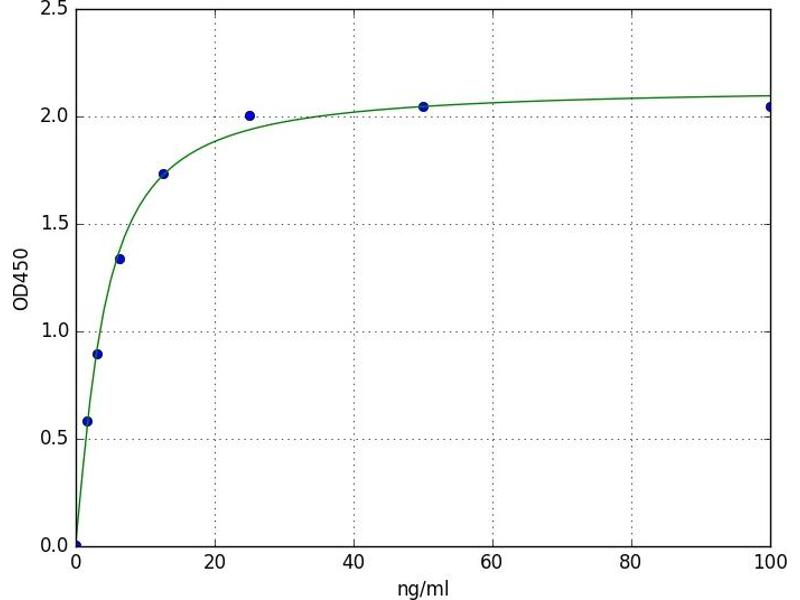
Detection Range

1.56 ng/mL - 100 ng/mL

Application

ELISA
  • Minimum Detection Limit

    1.56 ng/mL

    Analytical Method

    Quantitative

    Sensitivity

    0938 ng/mL
  • Application Notes

    Optimal working dilution should be determined by the investigator.

    Comment

    Sandwich ELISA, Double Antigen

    Plate

    Pre-coated

    Restrictions

    For Research Use only
  • Storage

    4 °C

    Expiry Date

    6 months
  • Target See all IFNalpha-Ab products

    IFNalpha-Ab (Interferon-alpha Antibody (IFNalpha-Ab))

    Alternative Name

    Interferon-alpha Antibody

    Target Type

    Antibody

    Background

    INF-α-Ab
You are here:
Chat with us!