Phone:
+1 877 302 8632
Fax:
+1 888 205 9894 (Toll-free)
E-Mail:
orders@antibodies-online.com

Serotonin ELISA Kit

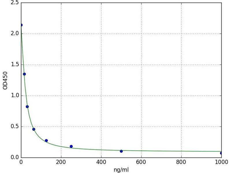
This Colorimetric ELISA kit is designed for the quantitative measurement of Various Species Serotonin.
Catalog No. ABIN5706365
$577.85
Plus shipping costs $50.00
96 tests
Shipping to: United States
Delivery in 13 to 17 Business Days

Quick Overview for Serotonin ELISA Kit (ABIN5706365)

Target

See all Serotonin (5-HT) ELISA Kits
Serotonin (5-HT) (5-Hydroxytryptamine (5-HT))

Reactivity

  • 3
  • 3
  • 3
  • 3
  • 3
  • 2
  • 1
  • 1
  • 1
  • 1
  • 1
  • 1
  • 1
  • 1
Various Species

Detection Method

Colorimetric

Method Type

Competition ELISA

Detection Range

15.63 ng/mL - 1000 ng/mL

Application

ELISA
  • Minimum Detection Limit

    15.63 ng/mL

    Analytical Method

    Quantitative

    Sensitivity

    9375 ng/mL
  • Application Notes

    Optimal working dilution should be determined by the investigator.

    Comment

    Competitive ELISA, Coated with Antigen

    Plate

    Pre-coated

    Restrictions

    For Research Use only
  • Storage

    4 °C

    Expiry Date

    6 months
  • Target See all Serotonin (5-HT) ELISA Kits

    Serotonin (5-HT) (5-Hydroxytryptamine (5-HT))

    Alternative Name

    5-hydroxytryptamine

    Target Type

    Chemical

    Background

    ST/5-HT(Serotonin/5-Hydroxytryptamine)
You are here:
Chat with us!