Phone:
+1 877 302 8632
Fax:
+1 888 205 9894 (Toll-free)
E-Mail:
orders@antibodies-online.com

Free Thyroxine ELISA Kit

This Colorimetric ELISA kit is designed for the quantitative measurement of Chicken Free Thyroxine.
Catalog No. ABIN6966897
$721.85
Plus shipping costs $50.00
96 tests
Shipping to: United States
Delivery in 13 to 17 Business Days

Quick Overview for Free Thyroxine ELISA Kit (ABIN6966897)

Target

See all Free Thyroxine (fT4) products
Free Thyroxine (fT4) (Free Thyroxine T4 (fT4))

Reactivity

  • 2
  • 2
  • 2
  • 1
  • 1
  • 1
  • 1
  • 1
Chicken

Detection Method

Colorimetric

Method Type

Competition ELISA

Detection Range

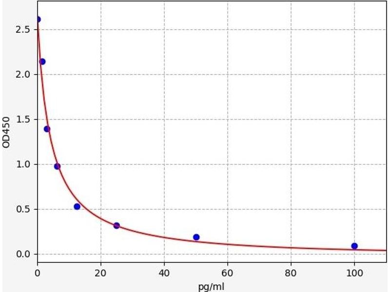
1.563 pg/mL - 100 pg/mL

Application

ELISA

Sample Type

Plasma, Serum, Tissue Homogenate
  • Minimum Detection Limit

    1.563 pg/mL

    Purpose

    For quantitative detection of FT4 in serum, plasma, tissue homogenates.

    Analytical Method

    Quantitative

    Specificity

    This assay has high sensitivity and excellent specificity for detection of FT4. No significant cross-reactivity or interference between FT4 and analogues was observed. Note: Limited by current skills and knowledge, it is difficult for us to complete the cross-reactivity detection between FT4 and all the analogues, therefore, cross reaction may still exist.

    Sensitivity

    0.938 pg/mL

    Components

    • Pre-coated, ready to use 96-well strip plate
    • Plate sealer for 96 wells
    • Standard
    • Standard Dilution Buffer
    • Biotin-labeled Antibody (Concentrated)
    • Antibody Dilution Buffer
    • HRP-Streptavidin Conjugate (SABC)
    • SABC Dilution Buffer
    • TMB Substrate
    • Stop Solution
    • Wash Buffer (25 x concentrate)
    • Instruction manual

    Material not included

    1. Microplate reader (wavelength:450nm)
    2. 37 °C incubator
    3. Automated plate washer
    4. Precision single and multi-channel pipette and disposable tips
    5. Clean tubes and Eppendorf tubes
    6. Deionized or distilled water
  • Sample Volume

    50 μL

    Plate

    Pre-coated

    Protocol

    1. Wash plate 2 times before adding Standard, Sample and Control (blank) wells!
    2. Add 50 µL Standard or Sample into each well. Immediately add 50 µL Biotin-labeled Antibody into each well, gently tap the plate to ensure thorough mixing then incubate for 45 minutes at 37 °C.
    3. Aspirate and wash plates 3 times.
    4. Add 100 µL SABC Working Solution into each well and incubate for 30 minutes at 37 °C.
    5. Aspirate and wash plates 5 times.
    6. Add 90 µL TMB Substrate Solution. Incubate 10-20 minutes at 37 °C.
    7. Add 50 µL Stop Solution. Read at 450nm immediately and calculation.

    Reagent Preparation

    • Bring all reagents and samples to room temperature for 20 minutes before use.
    • Wash Buffer: If crystals have formed in the concentrate, you can warm it with 40 °C water bath Concentrated Wash Buffer into 750 mL Wash Buffer with deionized or distilled water. Put unused solution back at 2-8 °C.
    • Standards:
      1. Add 1 mL Sample Dilution Buffer into one Standard tube (labeled as zero tube), keep the tube at room temperature for 10 minutes and mix them thoroughly. Note: If the standard tube concentration higher than the range of the kit,please dilute it and labeled as zero tube.
      2. Label 7 EP tubes with 1/2, 1/4, 1/8, 1/16, 1/32, 1/64 and blank respectively. Add 0.3 mLof the Sample Dilution Buffer into each tube. Add 0.3 mLof the above Standard solution (from zero tube) into 1st tube and mix them thoroughly. Transfer 0.3 mL from 1st tube to 2nd tube and mix them thoroughly. Transfer 0.3 mL from 2nd tube to 3rd tube and mix them thoroughly, and so on. Sample Dilution Buffer was used for the blank control. Note: It is best to use Standard Solutions within 2 hours.
    • Preparation of Biotin-labeled Antibody Working Solution:
      Prepare it within 1 hour before experiment.
      1. Calculate required total volume of the working solution: 0.05ml/well x quantity of wells. (Allow 0.1-0.2 mLmore than the total volume.)
      2. Dilute the Biotin-detection antibody with Antibody Dilution Buffer at 1:100 and mix them thoroughly. (i.e. Add 1 µL Biotin-labeled antibody into 99 µL Antibody Dilution Buffer.)
    • Preparation of HRP-Streptavidin Conjugate (SABC) Working Solution:
      Prepare it within 30 minutes before experiment.
      1. Calculate required total volume of the working solution: 0.1ml/well x quantity of wells. (Allow 0.1-0.2 mLmore than the total volume.)
      2. Dilute the SABC with SABC Dilution Buffer at 1:100 and mix them thoroughly. (i.e. Add 1 µL of SABC into 99 µL of SABC Dilution Buffer.)

    Sample Preparation

    • It is recommended to use fresh samples without long storage, otherwise protein degradation and denaturationmay occur in these samples, leading to false results. Samples should therefore be stored for a short periodat 2 - 8 °C or aliquoted at -20 °C (≤1 month) or -80 °C (≤ 3 months). Repeated freeze-thawcycles should be avoided. Prior to assay, the frozen samples should be slowly thawed and centrifuged toremove precipitates.
    • If the sample type is not specified in the instructions, a preliminary test is necessary to determinecompatibility with the kit.
    • If a lysis buffer is used to prepare tissue homogenates or cell culture supernatant, there is a possibilityof causing a deviation due to the introduced chemical substance.The recommended dilution factor is for reference only.
    • Please estimate the concentration of the samples before performing the test. If the values are not in therange of the standard curve, the optimal sample dilution for the particular experiment has to be determined.Samples should then be diluted with PBS (pH =7.0-7.2).
    Note:
    The user should estimate the concentration of target protein in the test sample, and select a proper dilution factor to make the diluted target protein concentration fall in the optimal detection range of the kit. Dilute the sample with the provided dilution buffer, and several trials may be necessary. The test sample must be well mixed with the dilution buffer. And also standard curves and sample should be making in pre-experiment. If samples with very high concentrations, dilute samples with PBS first and then dilute the samples with Sample Dilution.

    Assay Procedure

    Washing

    Manual: Discard the solution in the plate without touching the side walls. Clap the plate on absorbent filter papers or other absorbent material. Fill each well completely with 350 µL wash buffer and soak for 1 to 2 minutes, then aspirate contents from the plate, and clap the plate on absorbent filter papers or other absorbent material.
    Automatic: Aspirate all wells, and then wash plate with 350 µL wash buffer. After the final wash, invert plate, and clap the plate on absorbent filter papers or other absorbent material. It is recommended that the washer shall be set for soaking 1 minute. (Note: set the height of the needles, be sure the fluid can be sipped up completely)

    When diluting samples and reagents, they must be mixed completely and evenly. Before adding TMB into wells, equilibrate TMB Substrate for 30 minutes at 37 °C. It is recommended to plot a standard curve for each test.

    1. Set standard, test samples, control (blank) wells on the pre-coated plate respectively, and then, records their positions. It is recommended to measure each standard and sample in duplicate. Wash plate 2 times before adding standard, sample and control (blank) wells!
    2. Add Sample and Biotin-labeled Antibody: Add 50 µL of Standard, Blank, or Sample per well. The blank well is added with Sample/Standard Dilution Buffer. Immediately add 50 µL Biotin-labeled Antibody Working Solution into each well. Cover with the Plate sealer we provided. Gently tap the plate to ensure thorough mixing. Incubate for 45 minutes at 37 °C. (Solutions are added to the bottom of microplate well, avoiding inside wall touching and foaming as much as you can.)
    3. Wash: Remove the cover, and wash plate 3 times with Wash Buffer, and let the wash buffer stay in the wells for 1 minute each time. After the last wash, remove any remaining Wash Buffer by aspirating or decanting.
    4. HRP-Streptavidin Conjugate (SABC): Add 100 µL SABC Working Solution into each well. Cover it with a new Plate sealer. Incubate for 30 minutes at 37 °C.
    5. Wash: Remove the cover and wash plate 5 times with Wash Buffer, and let the wash buffer stay in the wells for 1-2 minutes each time.
    6. TMB Substrate: Add 90 µL TMB Substrate into each well, cover the plate and incubate at 37 °C in dark within 10-20 minutes. (Note: The reaction time can be shortened or extended according to the actual color change, but not more than 30 minutes. You can terminate the reaction when apparent gradient appeared in standard wells.)
    7. Stop: Add 50 µL Stop Solution into each well. The color will turn yellow immediately. The adding order of Stop Solution should be as the same as the TMB Substrate Solution.
    8. OD Measurement: Read the O.D. absorbance at 450nm in Microplate Reader immediately after adding the stop solution.
    Regarding calculation, the standard curve can be plotted as the O.D.450 of each standard solution (Y) vs, the respective concentration of the standard solution (X). The target concentration of the samples can be interpolated from the standard curve. It is recommended to use some professional software to do this calculation, such as Curve Expert 1.3 or 1.4.

    Note: If the samples measured were diluted, multiply the dilution factor to the concentrations from interpolation to obtain the concentration before dilution.

    Assay Precision

    Intra-Assay: CV<8%
    Inter-Assay: CV<10%

    Restrictions

    For Research Use only
  • Storage

    4 °C,-20 °C

    Storage Comment

    1. For unopened kit: All the reagents should be kept according to the labels on vials. The Reference Standard and the 96-well stripe plate should be stored at -20 °C upon receipt while the other reagents should be stored at 4 °C.
    2. For used kit: When the kit is used, the remaining reagents need to be stored according to the above storage condition. Besides, please return the unused wells to the foil pouch containing the desiccant pack, and zip-seal the foil pouch.

    Expiry Date

    6 months
  • Target See all Free Thyroxine (fT4) products

    Free Thyroxine (fT4) (Free Thyroxine T4 (fT4))

    Alternative Name

    Free Thyroxine

    Background

    FT4, Free Thyroxine, T4, Thyroxine, Thyroxine, total T4, total T4
You are here:
Chat with us!