Phone:
+1 877 302 8632
Fax:
+1 888 205 9894 (Toll-free)
E-Mail:
orders@antibodies-online.com

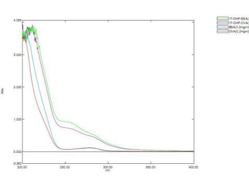
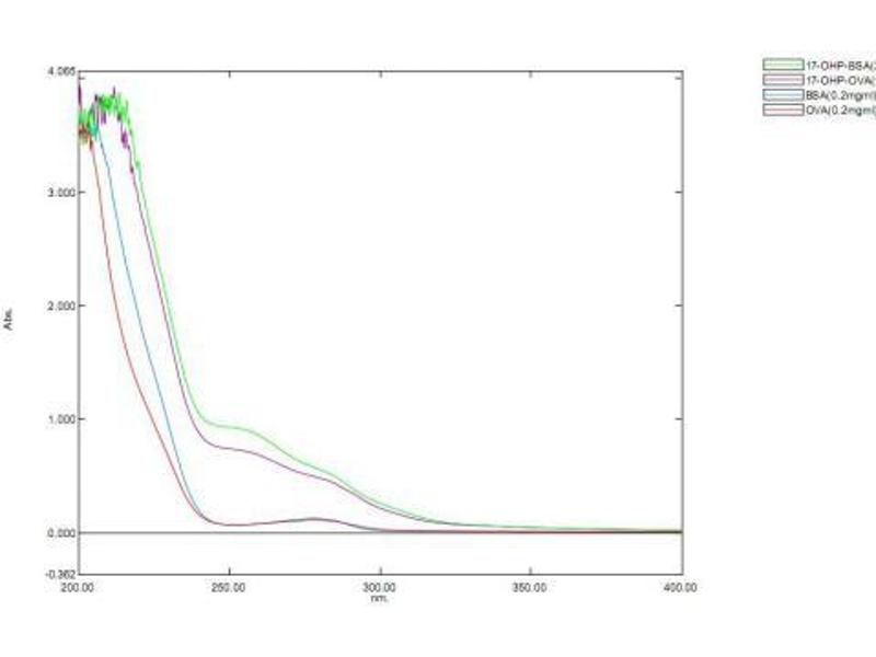
Progesterone 17-OH Protein (Ovalbumin)

Synthetic Progesterone 17-OH protein expressed in Synthetic.
Catalog No. ABIN1880150
$960.00
Plus shipping costs $50.00
Shipping to: United States
Delivery in 13 to 17 Business Days

Quick Overview for Progesterone 17-OH Protein (Ovalbumin) (ABIN1880150)

Target

Progesterone 17-OH

Protein Type

Synthetic

Origin

General

Source

  • 1
Synthetic

Application

Immunoprecipitation (IP), SDS-PAGE (SDS), ELISA, Western Blotting (WB)

Purity

> 95 %
  • Purification tag / Conjugate

    This Progesterone 17-OH protein is labelled with Ovalbumin.

    Characteristics

    Chemical Formula: C21H30O3
  • Want other Options for this Protein ?

    !
    Discover Our Predefined Custom Proteins and Custom Protein Services!

    Your project requires further customization? Contact us and discover our custom protein solutions

  • Restrictions

    For Research Use only
  • Reconstitution

    Reconstitute in sterile PBS, pH 7.2- pH 7.4.

    Handling Advice

    Avoid repeated freeze/thaw cycles.

    Storage

    4 °C/-80 °C

    Storage Comment

    Store at 2-8 °C for one month. Aliquot and store at -80 °C for 12 months.
  • Target

    Progesterone 17-OH

    Alternative Name

    17-Hydroxyprogesterone (17-OHP)

    Target Type

    Hormone

    Molecular Weight

    330.46 g/mol
You are here:
Chat with us!