Phone:
+1 877 302 8632
Fax:
+1 888 205 9894 (Toll-free)
E-Mail:
orders@antibodies-online.com

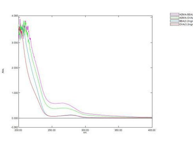
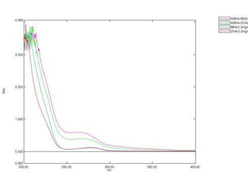
ADMA Protein (Ovalbumin)

This not_set ADMA protein is expressed in Synthetic.
Catalog No. ABIN1880295
$760.00
Plus shipping costs $50.00
Shipping to: United States
Delivery in 13 to 17 Business Days

Quick Overview for ADMA Protein (Ovalbumin) (ABIN1880295)

Target

ADMA (Asymmetrical Dimethylarginine (ADMA))

Origin

All Species

Source

Synthetic

Application

Immunoprecipitation (IP), SDS-PAGE (SDS), ELISA, Western Blotting (WB)

Purity

> 95 %
  • Purification tag / Conjugate

    This ADMA protein is labelled with Ovalbumin.
  • Want other Options for this Protein ?

    !
    Discover Our Predefined Custom Proteins and Custom Protein Services!

    Your project requires further customization? Contact us and discover our custom protein solutions

  • Comment

    The thermal stability is described by the loss rate of the target protein. The loss rate was determined by accelerated thermal degradation test, that is, incubate the protein at 37 °C for 48h, and no obvious degradation and precipitation were observed. (Referring from China Biological Products Standard, which was calculated by the Arrhenius equation.) The loss of this protein is less than 5% within the expiration date under appropriate storage condition.

    Restrictions

    For Research Use only
  • Reconstitution

    Reconstitute in sterile PBS, pH 7.2 - pH 7.4.

    Handling Advice

    Avoid repeated freeze/thaw cycles

    Storage

    4 °C

    Storage Comment

    Store at 2-8 °C for one month. Aliquot and store at -80 °C for 12 months.

    Expiry Date

    12 months
  • Target

    ADMA (Asymmetrical Dimethylarginine (ADMA))

    Target Type

    Amino Acid, Amino Acid
You are here:
Chat with us!