Phone:
+1 877 302 8632
Fax:
+1 888 205 9894 (Toll-free)
E-Mail:
orders@antibodies-online.com

Collagen Type I ELISA Kits

(Collagen, Type I (COL1))

Choose one of 37 Collagen Type I ELISA kits from our product listing based on 71 publications and 18 validation images.

Discover our premium Collagen Type I ELISA kits designed for precise and reproducible Collagen Type I quantification. Our portfolio, sourced from a wide range of trusted manufacturers, enables reliable detection across various species such as Human, Rat, Mouse, Rabbit, Cow, Goat, Pig, Chicken, Dog, Guinea Pig, Monkey, Sheep and accommodates numerous sample types including Serum, Plasma, Tissue Homogenate.

Use our intuitive search, filter, and comparison tools to easily identify the most suitable kit for your needs. Each product page includes comprehensive validation data, literature references, and user reviews. In contrast to comparison-only resources, our platform allows you to conveniently purchase ELISA kits directly, ensuring an efficient and transparent ordering experience. Explore our range of Collagen Type I ELISA kits below and place your order with confidence to advance your research.

Alternative names for Collagen Type I are COL3A1.

37 results

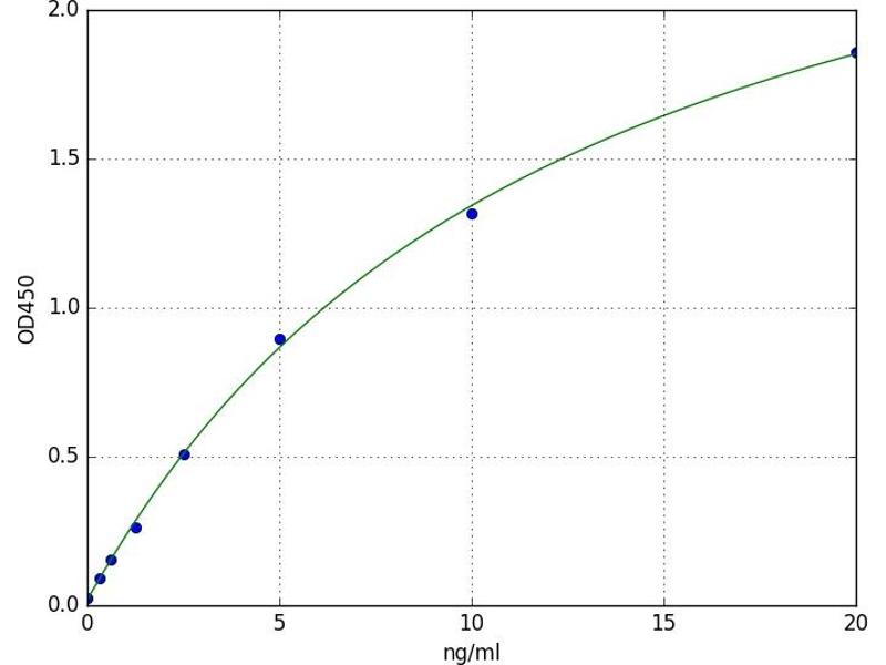
COL1 Reactivity: Human Colorimetric Sandwich ELISA 0.15 ng/mL - 10 ng/mL Cell Culture Supernatant, Cell Lysate, Plasma, Serum, Tissue Homogenate
Pubmed 31 references
Catalog No. ABIN6954910
$696.32
Plus shipping costs $50.00
96 tests (More quantities available)
Shipping to: United States
Delivery in 12 to 15 Business Days
 
COL1 Reactivity: Rat Colorimetric Sandwich ELISA 0.62 ng/mL - 40 ng/mL Plasma, Serum
Pubmed 14 references
Catalog No. ABIN6954912
$756.00
Plus shipping costs $50.00
96 tests (More quantities available)
Shipping to: United States
Delivery in 12 to 15 Business Days
 
COL1 Reactivity: Human Colorimetric Sandwich ELISA 1.56 ng/mL - 100 ng/mL Cell Culture Supernatant, Serum, Tissue Homogenate, Urine
Pubmed 6 references
Catalog No. ABIN6974281
$946.00
Plus shipping costs $50.00
96 tests (More quantities available)
Shipping to: United States
Delivery in 13 to 17 Business Days
 
COL1 Reactivity: Rat Colorimetric Sandwich ELISA 7.81 ng/mL - 500 ng/mL Cell Culture Supernatant, Plasma, Serum
Pubmed 1 reference
Catalog No. ABIN6963329
$803.88
Plus shipping costs $50.00
96 tests (More quantities available)
Shipping to: United States
Delivery in 11 to 15 Business Days
 
COL1 Reactivity: Mouse Colorimetric Sandwich ELISA 31.2 pg/mL - 2000 pg/mL Cell Culture Supernatant, Cell Lysate, Plasma, Serum, Tissue Homogenate
Pubmed 9 references
Catalog No. ABIN6954911
$716.21
Plus shipping costs $50.00
96 tests (More quantities available)
Shipping to: United States
Delivery in 12 to 15 Business Days
 
High Sensitivity COL1 Reactivity: Human Colorimetric Sandwich ELISA 15.6 pg/mL - 1000 pg/mL Plasma, Serum
Catalog No. ABIN6999392
$773.68
Plus shipping costs $50.00
96 tests (More quantities available)
Shipping to: United States
Delivery in 12 to 15 Business Days
 
COL1 Reactivity: Rabbit Colorimetric Sandwich ELISA 31.2 pg/mL - 2000 pg/mL Cell Culture Supernatant, Cell Lysate, Plasma, Serum, Tissue Homogenate
Catalog No. ABIN6954913
$756.00
Plus shipping costs $50.00
96 tests (More quantities available)
Shipping to: United States
Delivery in 12 to 15 Business Days
 
COL1 Reactivity: Pig Colorimetric Sandwich ELISA 78 pg/mL - 5000 pg/mL Plasma, Serum, Tissue Homogenate
Catalog No. ABIN6976229
$1,232.00
Plus shipping costs $50.00
96 tests (More quantities available)
Shipping to: United States
Delivery in 13 to 17 Business Days
 
COL1 Reactivity: Rabbit Colorimetric Sandwich ELISA 0.156 ng/mL - 10 ng/mL Plasma, Serum, Tissue Homogenate
Catalog No. ABIN6973361
$946.00
Plus shipping costs $50.00
96 tests (More quantities available)
Shipping to: United States
Delivery in 13 to 17 Business Days
 
COL1 Reactivity: Mouse Colorimetric Sandwich ELISA 0.313 ng/mL - 20 ng/mL Plasma, Serum, Tissue Homogenate
Catalog No. ABIN6965927
$577.85
Plus shipping costs $50.00
96 tests
Shipping to: United States
Delivery in 13 to 17 Business Days
 
COL1 Reactivity: Rat Colorimetric Sandwich ELISA 0.156 ng/mL - 10 ng/mL Plasma, Serum, Tissue Homogenate
Catalog No. ABIN6965928
$577.85
Plus shipping costs $50.00
96 tests
Shipping to: United States
Delivery in 13 to 17 Business Days
 
COL1 Reactivity: Human Colorimetric Sandwich ELISA 0.313 ng/mL - 20 ng/mL Plasma, Serum, Tissue Homogenate
Catalog No. ABIN6965929
$577.85
Plus shipping costs $50.00
96 tests
Shipping to: United States
Delivery in 13 to 17 Business Days
 
COL1 Reactivity: Rat Colorimetric Sandwich ELISA 78-5000 pg/mL Plasma, Serum, Tissue Homogenate
Pubmed 6 references
Catalog No. ABIN368059
$946.00
Plus shipping costs $50.00
96 tests (More quantities available)
Shipping to: United States
Delivery in 13 to 17 Business Days
 
High Sensitivity COL1 Reactivity: Human Colorimetric Sandwich ELISA 15.6 pg/mL - 1000 pg/mL Plasma, Serum, Tissue Homogenate
Catalog No. ABIN5564692
$736.84
Plus shipping costs $50.00
96 tests
Shipping to: United States
Delivery in 13 to 17 Business Days
 
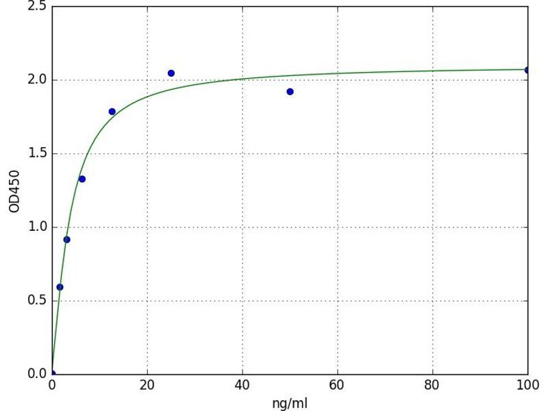
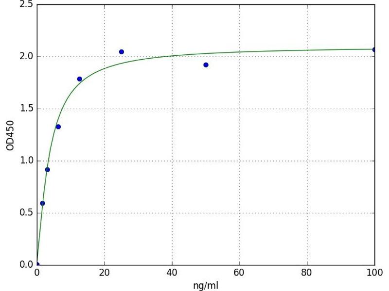
COL1 Reactivity: Rabbit Colorimetric Sandwich ELISA 50-1000 ng/mL Cell Culture Supernatant, Plasma, Serum, Tissue Homogenate
Pubmed 2 references
Catalog No. ABIN628250
$810.48
Plus shipping costs $50.00
96 tests
Shipping to: United States
Delivery in 15 to 19 Business Days
 
COL1 Reactivity: Pig Colorimetric Competition ELISA 30-1000 ng/mL Cell Culture Supernatant, Plasma, Serum, Tissue Homogenate
Catalog No. ABIN510957
$810.48
Plus shipping costs $50.00
96 tests
Shipping to: United States
Delivery in 15 to 19 Business Days
 
COL1 Reactivity: Human Colorimetric Sandwich ELISA 0.31 ng/mL - 20 ng/mL
Catalog No. ABIN5696522
$577.85
Plus shipping costs $50.00
96 tests
Shipping to: United States
Delivery in 13 to 17 Business Days
 
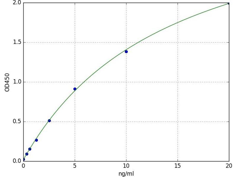
COL1 Reactivity: Rat Colorimetric Sandwich ELISA 0.15 ng/mL - 10 ng/mL
Catalog No. ABIN5696524
$577.85
Plus shipping costs $50.00
96 tests
Shipping to: United States
Delivery in 13 to 17 Business Days
 
COL1 Reactivity: Mouse Colorimetric Sandwich ELISA 0.313 ng/mL - 20 ng/mL Plasma, Serum, Tissue Homogenate
Catalog No. ABIN5696523
$577.85
Plus shipping costs $50.00
96 tests
Shipping to: United States
Delivery in 13 to 17 Business Days
 
COL1 Reactivity: Mouse Colorimetric Sandwich ELISA 0.156-10 ng/mL Cell Culture Supernatant, Plasma, Serum, Tissue Homogenate
Pubmed 2 references
Catalog No. ABIN367798
$946.00
Plus shipping costs $50.00
96 tests (More quantities available)
Shipping to: United States
Delivery in 13 to 17 Business Days
 
  • Type Kit
    • Kit
  • Application ELISA
    • ELISA
  • Reactivity
    • Human
    • Rat
    • Mouse
    • Rabbit
    • Cow
    • Goat
    • Pig
    • Chicken
    • Dog
    • Guinea Pig
    • Monkey
    • Sheep
  • Cited in publications
  • Images available
  • Method Type
    • Sandwich ELISA
    • Competition ELISA
  • Analytical Method
    • Quantitative
  • Detection Method
    • Colorimetric
  • Plate
    • Pre-coated
    • Pre-coated,Strips (12 x 8)
    • Strips (12 x 8)
  • Binding Specificity
    • C-Term
  • Conjugate
    • Un-conjugated
  • Sample
    • Serum
    • Plasma
    • Tissue Homogenate
    • Cell Culture Supernatant
    • Cell Lysate
    • Tissue Lysate
    • Urine
  • Grade
    • High Sensitivity
    • QuickTest
  • Supplier
    • Blue Gene
    • antibodies-online
    • Wuhan Fine biotech
    • USBio
    • CUSABIO
    • Cloud-Clone

Latest Publications for our Collagen Type I ELISA Kits

Aguado-Alvaro, Garitano, Esser-Skala, Sayers, Del Valle, Alameda, Mendieta-Esteban, Calleja-Cervantes, Goñi-Salaverri, Zazpe, de Vito, Marchese, Alignani, Cudini, Gross, Rábago, Narayan, Martinez, Martinez, Huntly, Riley, Gonzalez, Taylor-King, Fortelny, : "Identification of epigenetic regulators of fibrotic transformation in cardiac fibroblasts through bulk and single-cell CRISPR screens." in: Nature communications, Vol. 16, Issue 1, pp. 11660, (2025) (PubMed).

Paganelli, Benassi, Rossi, Magnoni: "Extracellular matrix deposition by adipose-derived stem cells and fibroblasts: a comparative study." in: Archives of dermatological research, Vol. 312, Issue 4, pp. 295-299, (2021) (PubMed).

Tan, Al-Rubeai: "A multifunctional dexamethasone-delivery implant fabricated using atmospheric plasma and its effects on apoptosis, osteogenesis and inflammation." in: Drug delivery and translational research, Vol. 11, Issue 1, pp. 86-102, (2021) (PubMed).

Kuo, Lin, Chao, Wu, Tseng, Chang, Liou, Wang: "Serum sclerostin levels are positively related to bone mineral density in peritoneal dialysis patients: a cross-sectional study." in: BMC nephrology, Vol. 20, Issue 1, pp. 266, (2020) (PubMed).

Liu, Zhu, Pei, Zhang, Cheng, Hu, Gao, Wang, Chen, Wan: "ZIF-8-Modified Multifunctional Bone-Adhesive Hydrogels Promoting Angiogenesis and Osteogenesis for Bone Regeneration." in: ACS applied materials & interfaces, Vol. 12, Issue 33, pp. 36978-36995, (2020) (PubMed).

Sun, Ji, Ma, Zhu, Chen, Wang, Qian, Wu, Hu, Huang, Zhang: "Epithelial-Mesenchymal Transition in Asthma Airway Remodeling Is Regulated by the IL-33/CD146 Axis." in: Frontiers in immunology, Vol. 11, pp. 1598, (2020) (PubMed).

Wang, Liu, Liang, Yang, Liu, Li, Guo, Wang, Liu, Chen: "Effects of Secreted frizzled-related protein 1 on inhibiting cardiac remodeling." in: European review for medical and pharmacological sciences, Vol. 24, Issue 11, pp. 6270-6278, (2020) (PubMed).

Sun, Mei, Mo, Xin, Lei, Huang, Chen, Han, Zhu: "Lead exposure inhibits osteoblastic differentiation and inactivates the canonical Wnt signal and recovery by icaritin in MC3T3-E1 subclone 14 cells." in: Chemico-biological interactions, Vol. 303, pp. 7-13, (2019) (PubMed).

Zhao, Xie, Zhang, Tang, Chen, Zhu, Fan, Yang, Zhang: "Selective effect of hydroxyapatite nanoparticles on osteoporotic and healthy bone formation correlates with intracellular calcium homeostasis regulation." in: Acta biomaterialia, Vol. 59, pp. 338-350, (2018) (PubMed).

Bono, Tarsini, Candiani: "Demineralized dentin and enamel matrices as suitable substrates for bone regeneration." in: Journal of applied biomaterials & functional materials, Vol. 15, Issue 3, pp. e236-e243, (2018) (PubMed).

Aliases for Collagen Type I ELISA Kits

collagen type III alpha 1 chain (COL3A1) ELISA Kits
You are here:
Chat with us!