Phone:
+1 877 302 8632
Fax:
+1 888 205 9894 (Toll-free)
E-Mail:
orders@antibodies-online.com

Homocitrulline/Citrulline Assay Kit

BCA Plasma, Serum, Urine
Catalog No. ABIN5067570
$655.00
Plus shipping costs $50.00
100 tests
Shipping to: United States
Delivery in 2 to 4 Business Days

Quick Overview for Homocitrulline/Citrulline Assay Kit (ABIN5067570)

Application

Biochemical Assay (BCA)

Sample Type

Urine, Plasma, Serum
  • Purpose

    Homocitrulline/Citrulline Assay Kit provides a convenient colorimetric method for the detection of total homocitrulline/citrulline from cells, tissue, plasma, serum, or urine samples.

    Characteristics

    Homocitrulline/Citrulline Assay Kit is a simple colorimetric assay that measures the amount of total homocitrulline and citrulline present in biological samples in a 96-well microtiter plate format. Each kit provides sufficient reagents to perform up to 100 assays, including blanks, homocitrulline or citrulline standards, and unknown samples. Sample homocitrulline/citrulline concentrations are determined by comparison with a known homocitrulline or citrulline standard. The kit has a detection sensitivity limit of 37.5 μM homocitrulline or citrulline.

    Components

    1. Homocitrulline Standard : One 50 μL vial containing 240 mM Homocitrulline.
    2. Citrulline Standard : One 50 μL vial containing 240 mM Citrulline.
    3. SDS Solution : One 500 μL vial.
    4. Assay Reagent A : One 25 mL bottle.
    5. Assay Reagent B : One 5 mL bottle. 4

    Box 2 (shipped on blue ice packs)

  • Application Notes

    Optimal working dilution should be determined by the investigator.

    Comment

    • Suitable for use with plasma, serum, urine, and lysates
    • Detection sensitivity of 37.5 uM homocitrulline or citrulline
    • Homocitrulline and citrulline standards included

    Protocol

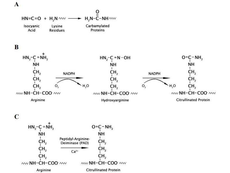
    First, the samples are treated with sodium dodecyl sulfate (SDS) and Proteinase K to release free homocitrulline/citrulline residues. Assay Reagents are added to the well which reacts with homocitrulline and citrulline to produce a chromophore and the absorbance is read at 540- 560 nm. The content of homocitrulline and citrulline in the unknown samples is determined by comparison with a predetermined standard curve. The provided reagents are sufficient for the evaluation of 100 assays including standards and unknown samples. 2 A B C . Mechanisms of (A) Homocitrullination (Carbamylation) of Proteins by Isocyanic Acid. (B) Citrulline Formation by NOS. (C) Citrullination of Proteins by PAD.

    Sample Preparation

    The following recommendations are only guidelines and may be altered to optimize or complement the user's experimental design.

    • Cell culture supernatants: Cell culture media formulated with homocitrulline or citrulline should be avoided. To remove insoluble particles, centrifuge at 10,000 rpm for 5 min. The cell conditioned media may be assayed directly or diluted as necessary into PBS.
    • Tissue lysates: Sonicate or homogenize tissue sample in PBS and centrifuge at 10,000 x g for 10 minutes at 4 °C. The supernatant may be assayed directly or diluted as necessary in PBS.
    • Cell lysates: Resuspend cells at 1-2 x 106 cells/mL in PBS. Homogenize or sonicate the cells on ice. Centrifuge to remove debris. Cell lysates may be assayed undiluted or diluted as necessary in PBS.
    • Serum, plasma, or urine: To remove insoluble particles, centrifuge at 10,000 rpm for 5 min. The supernatant may be assayed directly or diluted as necessary into PBS.

    Assay Procedure

    1. Prepare and mix all reagents thoroughly before use. Each sample, including unknowns and standards, should be assayed in duplicate.
    2. Add 50 μL of each Homocitrulline standard, Citrulline standard or unknown sample into a 2 mL screwcap tube with an O-ring.
    3. Add 5 μL of SDS solution and 5 μL of Proteinase K solution to each tube and mix thoroughly by pipetting up and down. Incubate for 2 hours at 37 °C.
    4. Add 250 μL of Assay Reagent A and 50 μL of Assay Reagent B to each tube. Close all screwcap tubes tightly, mix well, and incubate for 30 minutes at 95 °C.
    5. Transfer the tubes to 4 °C for 5 minutes. Centrifuge the tubes at 18,000 x g for 10 minutes at room temperature.
    6. Transfer 200 μL of each supernatant to a new well of a clear 96 well plate or an ELISA strip well. Read absorbance of each well on a microplate reader using 540-560 nm as the primary wavelength.

    Restrictions

    For Research Use only
  • Storage

    RT/-20 °C

    Storage Comment

    Upon receipt, store the Homocitrulline Standard, Citrulline Standard, and Proteinase K at -20°C. Store all the other reagents at room temperature. Preparation of Standard Curve Prepare a dilution series of Homocitrulline or Citrulline standards in the concentration range of 0 to 2400 μM by diluting the Homocitrulline or Citrulline Standard in PBS (Table 1). 240 mM Homocitrulline or Homocitrulline Standard Citrulline Standard or Citrulline Tubes (μL) PBS (μL) (μM) 1 5 495 2400 2 250 of Tube #1 250 1200 3 250 of Tube #2 250 600 4 250 of Tube #3 250 300 5 250 of Tube #4 250 150 6 250 of Tube #5 250 75 7 250 of Tube #6 250 37.5 8 0 250 0 Table 1. Preparation of Homocitrulline or Citrulline Standards. 5
  • Background

    Homocitrulline is an amino acid found in mammalian metabolism as a free-form metabolite of ornithine (another amino acid not found in proteins but is involved in the urea cycle). Through the process of carbamylation, homocitrulline amino acid residues can also be formed in proteins. Carbamylation results from the binding of isocyanic acid with amino groups (isocyanic acid spontaneously derived from high concentrations of urea) and primarily leads to the formation of either N-terminally carbamylated proteins and/or carbamylated lysine side chains (forming homocitrulline residues) (Figure 1A). It is known that elevated urea directly induces the formation of potentially atherogenic carbamylated LDL (cLDL). High blood concentrations of urea leading to the carbamylation process were detected in uremic patients and patients with end-stage renal disease. Homocitrulline can be detected in larger amounts in the urine of individuals with urea cycle disorders. Citrulline is an amino acid very similar in structure to homocitrulline, however, the former is one methylene group shorter than the latter. In mammals, free citrulline is produced from free arginine during the enzymatic generation of nitric oxide (NO) by nitric oxide synthase (NOS) (Figure 1B). In addition, citrulline is synthesized from ornithine and carbamoyl phosphate in one of the main reactions of the urea cycle, a process that causes excretion of ammonia. Citrulline is not normally incorporated into proteins, but can be found in proteins due to post translational modification. The enzyme pepdidylarginine deiminase (PADI) can convert arginine to citrulline in the presence of calcium (Figure 1C). Since rheumatoid arthritis (RA) patients often produce autoantibodies to peptides containing citrulline, it has been suggested that PADI enzymes are involved in the disease. Recently it has been shown that haplotype PADI4 is associated with susceptibility to RA. Homocitrulline has been suggested as a confounding antigen for rheumatoid arthritis antibodies targeting citrullinated proteins/peptides. Antibodies binding to homocitrulline-containing sequences have been found in rheumatoid arthritis patients' sera. It has also been shown that homocitrulline-containing proteins are present in rheumatoid arthritis (RA) joints.
You are here:
Chat with us!