Phone:
+1 877 302 8632
Fax:
+1 888 205 9894 (Toll-free)
E-Mail:
orders@antibodies-online.com

CRP ELISA Kit

This Colorimetric ELISA kit is designed for the quantitative measurement of Rat CRP.
Catalog No. ABIN5522098
$577.85
Plus shipping costs $50.00
96 tests
Shipping to: United States
Delivery in 13 to 17 Business Days

Quick Overview for CRP ELISA Kit (ABIN5522098)

Target

See all CRP ELISA Kits
CRP (C-Reactive Protein (CRP))

Reactivity

  • 25
  • 14
  • 14
  • 8
  • 7
  • 6
  • 6
  • 5
  • 4
  • 3
  • 3
  • 2
  • 1
  • 1
  • 1
  • 1
Rat

Detection Method

Colorimetric

Method Type

Sandwich ELISA

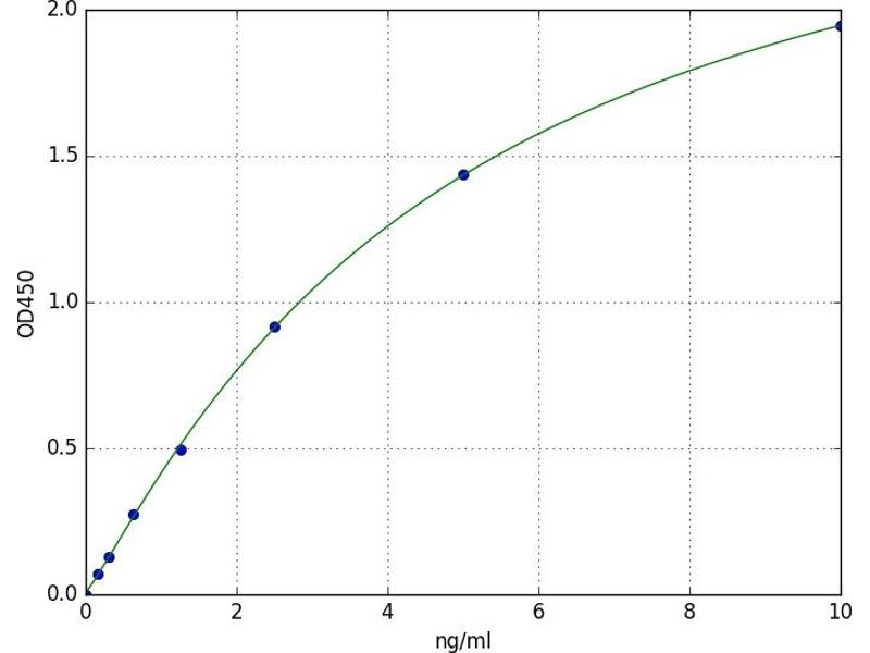
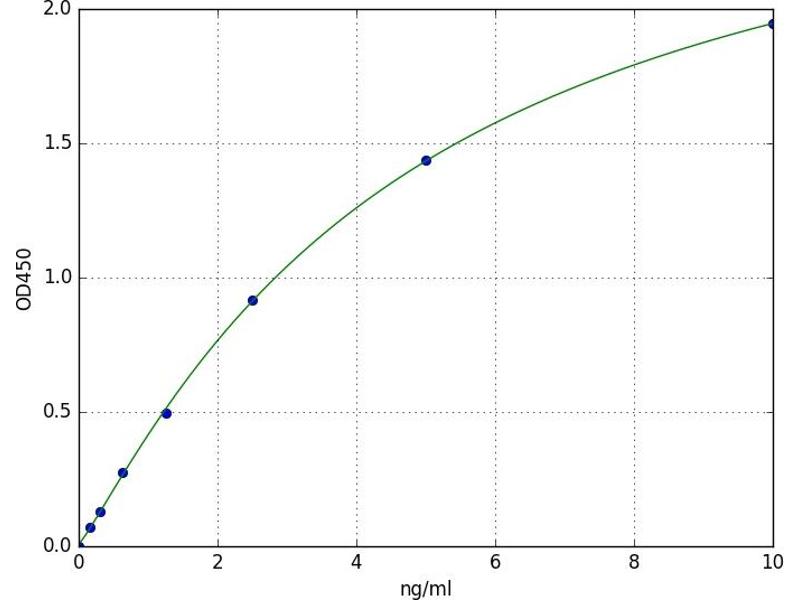
Detection Range

0.15 ng/mL - 10 ng/mL

Application

ELISA

Sample Type

Plasma, Serum, Tissue Homogenate
  • Minimum Detection Limit

    0.15 ng/mL

    Purpose

    For quantitative detection in serum, plasma, tissue homogenates and other biological fluids.

    Analytical Method

    Quantitative

    Specificity

    Hs-CRP

    Sensitivity

    0.094 ng/mL

    Components

    - ELISA Microplate
    - Lyophilized Standard
    - Sample / Standard Dilution Buffer
    - Biotin-labeled Antibody (Concentrated)
    - Antibody Dilution Buffer
    - HRP-Streptavidin Conjugate(SABC)
    - SABC Dilution Buffer
    - TMB Substrate
    - Stop Solution
    - Wash Buffer (25X)
    - Plate Sealer
    - Product Description
  • Application Notes

    Optimal working dilution should be determined by the investigator.

    Comment

    Sandwich ELISA, Double Antibody

    Sample Volume

    100 μL

    Plate

    Pre-coated

    Restrictions

    For Research Use only
  • Storage

    4 °C

    Storage Comment

    4 °C for 6 months

    Expiry Date

    6 months
  • Target See all CRP ELISA Kits

    CRP (C-Reactive Protein (CRP))

    Alternative Name

    hs-CRP

    Background

    Hs-CRP

    UniProt

    P48199

    Pathways

    Carbohydrate Homeostasis
You are here:
Chat with us!