Phone:
+1 877 302 8632
Fax:
+1 888 205 9894 (Toll-free)
E-Mail:
orders@antibodies-online.com

AMPK alpha ELISA Kit

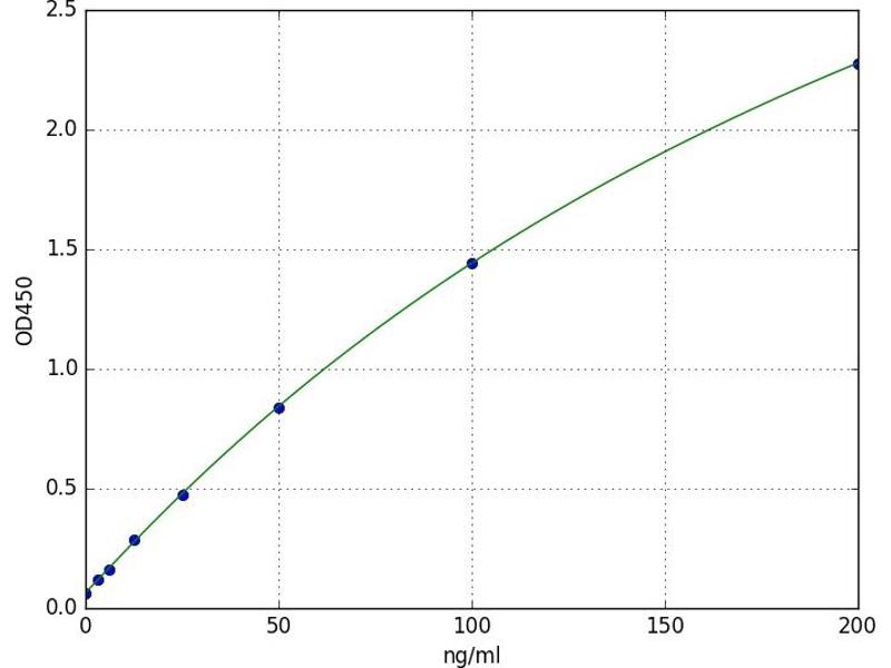
The Rat AMPK alpha ELISA Kit (ABIN5522801) is a Colorimetric ELISA Kit designed to quantify Rat AMPK alpha.
Catalog No. ABIN5522801
$577.85
Plus shipping costs $50.00
96 tests
Shipping to: United States
Delivery in 13 to 17 Business Days

Quick Overview for AMPK alpha ELISA Kit (ABIN5522801)

Target

See all AMPK alpha (SNF1A) ELISA Kits
AMPK alpha (SNF1A) (SNF1A/AMP-Activated Protein Kinase (SNF1A))

Reactivity

  • 4
  • 3
  • 3
Rat

Detection Method

Colorimetric

Method Type

Sandwich ELISA

Detection Range

3.12 ng/mL - 200 ng/mL

Application

ELISA

Sample Type

Plasma, Serum, Tissue Homogenate
  • Minimum Detection Limit

    3.12 ng/mL

    Purpose

    For quantitative detection in serum, plasma, tissue homogenates and other biological fluids.

    Analytical Method

    Quantitative

    Specificity

    AMPK

    Sensitivity

    1.875 ng/mL

    Components

    - ELISA Microplate
    - Lyophilized Standard
    - Sample / Standard Dilution Buffer
    - Biotin-labeled Antibody (Concentrated)
    - Antibody Dilution Buffer
    - HRP-Streptavidin Conjugate(SABC)
    - SABC Dilution Buffer
    - TMB Substrate
    - Stop Solution
    - Wash Buffer (25X)
    - Plate Sealer
    - Product Description
  • Application Notes

    Optimal working dilution should be determined by the investigator.

    Comment

    Sandwich ELISA, Double Antibody

    Sample Volume

    100 μL

    Plate

    Pre-coated

    Restrictions

    For Research Use only
  • Storage

    4 °C

    Storage Comment

    4 °C for 6 months

    Expiry Date

    6 months
  • Target See all AMPK alpha (SNF1A) ELISA Kits

    AMPK alpha (SNF1A) (SNF1A/AMP-Activated Protein Kinase (SNF1A))

    Alternative Name

    AMPK

    Background

    AMPK

    UniProt

    Q09137

    Pathways

    Warburg Effect
You are here:
Chat with us!