Phone:
+1 877 302 8632
Fax:
+1 888 205 9894 (Toll-free)
E-Mail:
orders@antibodies-online.com

ACA-IgM ELISA Kit

Mouse ACA-IgM ELISA Kit, Colorimetric assay for quantification of Mouse ACA-IgM.
Catalog No. ABIN5522880
$721.85
Plus shipping costs $50.00
96 tests
Shipping to: United States
Delivery in 13 to 17 Business Days

Quick Overview for ACA-IgM ELISA Kit (ABIN5522880)

Target

See all ACA-IgM products
ACA-IgM (Anti-Cardiolipin Antibody IgM (ACA-IgM))

Reactivity

  • 1
  • 1
Mouse

Detection Method

Colorimetric

Method Type

Sandwich ELISA

Detection Range

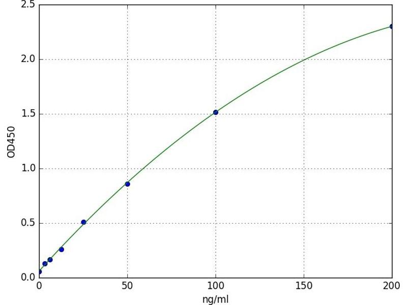
3.125 ng/mL - 200 ng/mL

Application

ELISA

Sample Type

Plasma, Serum, Tissue Homogenate
  • Minimum Detection Limit

    3.125 ng/mL

    Purpose

    For quantitative detection of ACA-IgM in serum, plasma, tissue homogenates.

    Analytical Method

    Quantitative

    Specificity

    This assay has high sensitivity and excellent specificity for detection of ACA-IgM. No significant cross- reactivity or interference between ACA-IgM and analogues was observed. Note: Limited by current skills and knowledge, it is difficult for us to complete the cross-reactivity detection between ACA-IgM and all the analogues, therefore, cross reaction may still exist.

    Sensitivity

    1.875 ng/mL

    Components

    - ELISA Microplate
    - Lyophilized Standard
    - Sample / Standard Dilution Buffer
    - Biotin-labeled Antibody (Concentrated)
    - Antibody Dilution Buffer
    - HRP-Streptavidin Conjugate(SABC)
    - SABC Dilution Buffer
    - TMB Substrate
    - Stop Solution
    - Wash Buffer (25X)
    - Plate Sealer
    - Product Description

    Material not included

    - Microplate reader (wavelength: 450nm)
    - 37 °C incubator
    - Automated plate washer
    - Precision single and multi-channel pipette and disposable tips
    - Clean tubes and Eppendorf tubes
    - Deionized or distilled water
  • Application Notes

    Optimal working dilution should be determined by the investigator.

    Comment

    Sandwich ELISA, Double Antigen

    Sample Volume

    100 μL

    Plate

    Pre-coated

    Restrictions

    For Research Use only
  • Storage

    4 °C

    Storage Comment

    1. For unopened kit: All the reagents should be kept according to the labels on vials. The Reference Standard and the 96-well stripe plate should be stored at -20 °C upon receipt while the other reagents should be stored at 4 °C.
    2. For used kit: When the kit is used, the remaining reagents need to be stored according to the above storage condition. Besides, please return the unused wells to the foil pouch containing the desiccant pack, and zip-seal the foil pouch.

    Expiry Date

    6 months
  • Target See all ACA-IgM products

    ACA-IgM (Anti-Cardiolipin Antibody IgM (ACA-IgM))

    Alternative Name

    Anti-Cardiolipin Antibody IgM

    Target Type

    Antibody

    Background

    ACA-IgM/anti-Cardiolipin Antibody IgM
You are here:
Chat with us!