Phone:
+1 877 302 8632
Fax:
+1 888 205 9894 (Toll-free)
E-Mail:
orders@antibodies-online.com

Caspase 3 ELISA Kit

Human Caspase 3 ELISA Kit, Colorimetric assay for quantification of Human Caspase 3.
Catalog No. ABIN5524446
$577.85
Plus shipping costs $50.00
96 tests
Shipping to: United States
Delivery in 13 to 17 Business Days

Quick Overview for Caspase 3 ELISA Kit (ABIN5524446)

Target

See all Caspase 3 (CASP3) ELISA Kits
Caspase 3 (CASP3)

Reactivity

  • 19
  • 13
  • 9
  • 4
  • 3
  • 3
  • 2
  • 2
  • 1
  • 1
  • 1
  • 1
Human

Detection Method

Colorimetric

Method Type

Sandwich ELISA

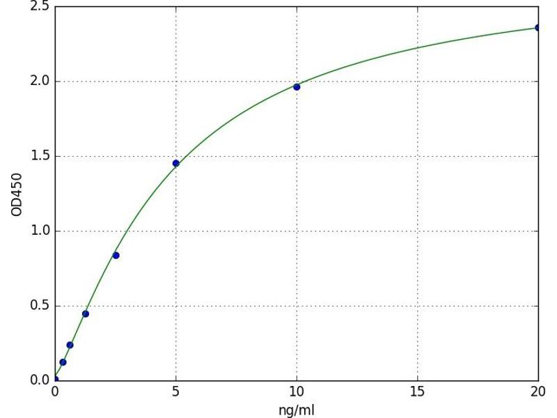
Detection Range

31.25 pg/mL - 2000 pg/mL

Application

ELISA

Sample Type

Plasma, Serum, Tissue Homogenate
  • Minimum Detection Limit

    31.25 pg/mL

    Purpose

    For quantitative detection of CASP3 in serum, plasma, tissue homogenates.

    Analytical Method

    Quantitative

    Specificity

    This assay has high sensitivity and excellent specificity for detection of CASP3. No significant cross-reactivity or interference between CASP3 and analogues was observed. Note: Limited by current skills and knowledge, it is difficult for us to complete the cross-reactivity detection between CASP3 and all the analogues, therefore, cross reaction may still exist.

    Sensitivity

    18.75 pg/mL

    Components

    - ELISA Microplate
    - Lyophilized Standard
    - Sample / Standard Dilution Buffer
    - Biotin-labeled Antibody (Concentrated)
    - Antibody Dilution Buffer
    - HRP-Streptavidin Conjugate(SABC)
    - SABC Dilution Buffer
    - TMB Substrate
    - Stop Solution
    - Wash Buffer (25X)
    - Plate Sealer
    - Product Description
  • Application Notes

    Optimal working dilution should be determined by the investigator.

    Comment

    Sandwich ELISA, Double Antibody

    Sample Volume

    100 μL

    Plate

    Pre-coated

    Restrictions

    For Research Use only
  • Storage

    4 °C

    Storage Comment

    1. For unopened kit: All the reagents should be kept according to the labels on vials. The Reference Standard and the 96-well stripe plate should be stored at -20 °C upon receipt while the other reagents should be stored at 4 °C.
    2. For used kit: When the kit is used, the remaining reagents need to be stored according to the above storage condition. Besides, please return the unused wells to the foil pouch containing the desiccant pack, and zip-seal the foil pouch.

    Expiry Date

    6 months
  • Target See all Caspase 3 (CASP3) ELISA Kits

    Caspase 3 (CASP3)

    Alternative Name

    CASP3

    Background

    CASP3/CPP32/CPP32B/SCA-1/Apoptain/Yama/Apopain/LICE-1/YAMA/Apopain/apoptosis-related cysteine protease/CASP-3/caspase 3, apoptosis-related cysteine peptidase/caspase-3/CPP-32/CPP32/SREBP cleavage activity 1/Cysteine protease CPP32/PARP cleavage protease/p

    UniProt

    P42574

    Pathways

    Apoptosis, Caspase Cascade in Apoptosis, Sensory Perception of Sound, ER-Nucleus Signaling, Positive Regulation of Endopeptidase Activity, Activated T Cell Proliferation
You are here:
Chat with us!