Ki-67 ELISA Kit
Quick Overview for Ki-67 ELISA Kit (ABIN5696261)
Target
See all Ki-67 (MKI67) ELISA KitsReactivity
Detection Method
Method Type
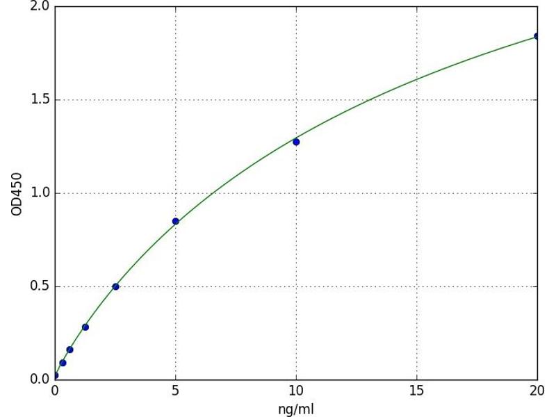
Detection Range
Application
-
-
Minimum Detection Limit
- 0.31 ng/mL
-
Analytical Method
- Quantitative
-
Sensitivity
- 0188 ng/mL
-
-
-
-
Application Notes
- Optimal working dilution should be determined by the investigator.
-
Comment
-
Sandwich ELISA, Double Antibody
-
Plate
- Pre-coated
-
Restrictions
- For Research Use only
-
-
-
Storage
- 4 °C
-
Expiry Date
- 6 months
-
-
- Ki-67 (MKI67) (Antigen Identified By Monoclonal Antibody Ki-67 (MKI67))
-
Alternative Name
- Ki67 (Proliferation marker protein Ki-67)
-
Pathways
- Glycosaminoglycan Metabolic Process
Target See all Ki-67 (MKI67) ELISA Kits
-