Phone:
+1 877 302 8632
Fax:
+1 888 205 9894 (Toll-free)
E-Mail:
orders@antibodies-online.com

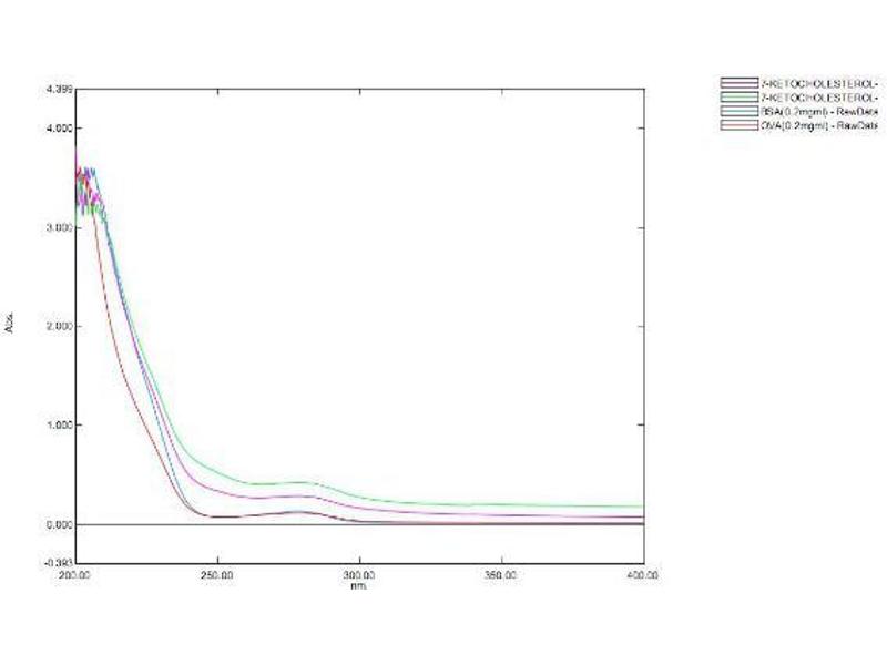
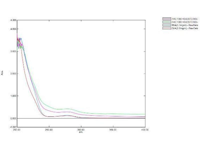
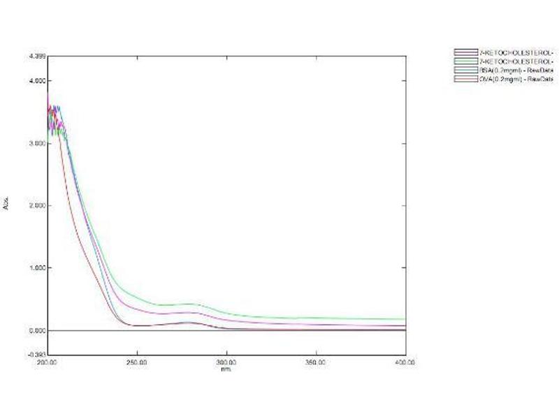
Cholesterol Protein (CH) (BSA)

This Synthetic Cholesterol protein is produced in Synthetic.
Catalog No. ABIN1880308
$740.00
Plus shipping costs $50.00
Shipping to: United States
Delivery in 13 to 17 Business Days

Quick Overview for Cholesterol Protein (CH) (BSA) (ABIN1880308)

Target

Cholesterol (CH)

Protein Type

Synthetic

Origin

  • 1
  • 1
General

Source

  • 1
  • 1
Synthetic

Application

Immunoprecipitation (IP), SDS-PAGE (SDS), ELISA, Western Blotting (WB)

Purity

> 95 %
  • Purification tag / Conjugate

    This Cholesterol protein is labelled with BSA.

    Characteristics

    Chemical Formula: C27H46O
  • Want other Options for this Protein ?

    !
    Discover Our Predefined Custom Proteins and Custom Protein Services!

    Your project requires further customization? Contact us and discover our custom protein solutions

  • Restrictions

    For Research Use only
  • Reconstitution

    Reconstitute in sterile PBS, pH 7.2- pH 7.4.

    Handling Advice

    Avoid repeated freeze/thaw cycles.

    Storage

    4 °C/-80 °C

    Storage Comment

    Store at 2-8 °C for one month. Aliquot and store at -80 °C for 12 months.
  • Target

    Cholesterol (CH)

    Molecular Weight

    386.65 g/mol
You are here:
Chat with us!