Phone:
+1 877 302 8632
Fax:
+1 888 205 9894 (Toll-free)
E-Mail:
orders@antibodies-online.com

tau Protein (full length, P301S)

Recombinant tau protein expressed in Escherichia coli (E. coli).
Catalog No. ABIN6929397
$615.00
Plus shipping costs $50.00, if applicable $20.00 dry ice
100 μg
Shipping to: United States
Delivery in 3 to 5 Business Days

Quick Overview for tau Protein (full length, P301S) (ABIN6929397)

Target

See all tau Proteins
tau (tau Protein)

Protein Type

Recombinant

Biological Activity

Active

Origin

  • 8
  • 3
  • 1
  • 1
Human

Source

  • 12
  • 1
Escherichia coli (E. coli)

Application

SDS-PAGE (SDS), Western Blotting (WB), In vitro Assay (in vitro), In vivo Studies (in vivo)
  • Protein Characteristics

    P301S, full length

    Purpose

    Active Human Recombinant Tau441 (2N4R), P301S mutant Protein Pre-formed Fibrils

    Sequence

    MAEPRQEFEV MEDHAGTYGL GDRKDQGGYT MHQDQEGDTD AGLKESPLQT PTEDGSEEPG SETSDAKSTP TAEDVTAPLV DEGAPGKQAA AQPHTEIPEG TTAEEAGIGD TPSLEDEAAG HVTQARMVSK SKDGTGSDDK KAKGADGKTK IATPRGAAPP GQKGQANATR IPAKTPPAPK TPPSSGEPPK SGDRSGYSSP GSPGTPGSRS RTPSLPTPPT REPKKVAVVR TPPKSPSSAK SRLQTAPVPM PDLKNVKSKI GSTENLKHQP GGGKVQIINK KLDLSNVQSK CGSKDNIKHV SGGGSVQIVY KPVDLSKVTS KCGSLGNIHH KPGGGQVEVK SEKLDFKDRV QSKIGSLDNI THVPGGGNKK IETHKLTFRE NAKAKTDHGA EIVYKSPVVS GDTSPRHLSN VSSTGSIDMV DSPQLATLAD EVSASLAKQG L

    Specificity

    ~45.8 kDa

    Purification

    Ion-exchange Purified

    Biological Activity Comment

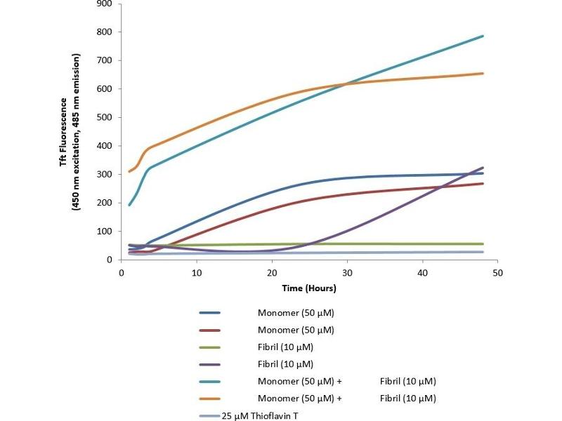
    Thioflavin T emission curve shows increased fluorescence (correlated to tau protein fibrillation) when active tau PFFs are combined with active tau monomers.
  • Want other Options for this Protein ?

    !
    Discover Our Predefined Custom Proteins and Custom Protein Services!

    Your project requires further customization? Contact us and discover our custom protein solutions

  • Application Notes

    Optimal working dilution should be determined by the investigator.

    Restrictions

    For Research Use only
  • Concentration

    Lot specific

    Buffer

    10 mM HEPES, 100 mM NaCl pH 7.4

    Storage

    -80 °C
  • Target

    tau (tau Protein)

    Alternative Name

    Tau

    Background

    Alzheimer's Disease (AD) is the most common neurodegenerative disease, affecting 10 % of seniors over the age of 65 (1). It was named after Alois Alzheimer, a German scientist who discovered tangled bundles of fibrils where neurons had once been in the brain of a deceased patient in 1907 (2). Tau (tubulin-associated unit) is normally located in the axons of neurons where it stabilizes microtubules. Tauopathies such as AD are characterized by neurofibrillary tangles containing hyperphosphorylated tau fibrils (3). There are six isoforms of tau in the adult human brain: three with four repeat units (4R) and three with three repeat units (3R) (4). 2N4R, or Tau-441 is the full length tau protein. P301S is a mutation encoded by exon 10 (4) that impairs the ability of tau to assemble microtubules (5).

    NCBI Accession

    NP_005901

    UniProt

    P10636
You are here:
Chat with us!