SIRT1 ELISA Kit
Quick Overview for SIRT1 ELISA Kit (ABIN5522221)
Target
See all SIRT1 ELISA KitsReactivity
Detection Method
Method Type
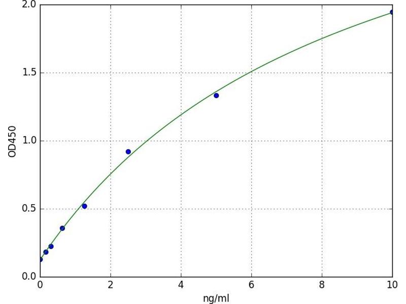
Detection Range
Application
Sample Type
-
-
Minimum Detection Limit
- 0.15 ng/mL
-
Purpose
- For quantitative detection in serum, plasma, tissue homogenates and other biological fluids.
-
Analytical Method
- Quantitative
-
Specificity
- SIRT1/SIR2alpha/SIR2L1/SIR2-like protein 1/EC 3.5.1/S. cerevisiae, homolog) 1/sirtuin 1
-
Sensitivity
- 0.094 ng/mL
-
Components
-
- ELISA Microplate
- Lyophilized Standard
- Sample / Standard Dilution Buffer
- Biotin-labeled Antibody (Concentrated)
- Antibody Dilution Buffer
- HRP-Streptavidin Conjugate(SABC)
- SABC Dilution Buffer
- TMB Substrate
- Stop Solution
- Wash Buffer (25X)
- Plate Sealer
- Product Description
-
-
-
-
Application Notes
- Optimal working dilution should be determined by the investigator.
-
Comment
-
Sandwich ELISA, Double Antibody
-
Sample Volume
- 100 μL
-
Plate
- Pre-coated
-
Restrictions
- For Research Use only
-
-
-
Storage
- 4 °C
-
Storage Comment
- 4 °C for 6 months
-
Expiry Date
- 6 months
-
-
- SIRT1 (Sirtuin 1 (SIRT1))
-
Alternative Name
- SIRT1
-
Background
- SIRT1/SIR2alpha/SIR2L1/SIR2-like protein 1/EC 3.5.1/S. cerevisiae, homolog) 1/sirtuin 1
-
UniProt
- A0A0G2JZ79
-
Pathways
- MAPK Signaling, Intracellular Steroid Hormone Receptor Signaling Pathway, Regulation of Intracellular Steroid Hormone Receptor Signaling, Carbohydrate Homeostasis, Positive Regulation of Endopeptidase Activity, Regulation of Carbohydrate Metabolic Process, Positive Regulation of Response to DNA Damage Stimulus, Negative Regulation of intrinsic apoptotic Signaling
Target See all SIRT1 ELISA Kits
-