Phone:
+1 877 302 8632
Fax:
+1 888 205 9894 (Toll-free)
E-Mail:
orders@antibodies-online.com

HMGB1 ELISA Kit

Mouse HMGB1 ELISA Kit, Colorimetric assay for quantification of Mouse HMGB1.
Catalog No. ABIN5523372
$577.85
Plus shipping costs $50.00
96 tests
Shipping to: United States
Delivery in 13 to 17 Business Days

Quick Overview for HMGB1 ELISA Kit (ABIN5523372)

Target

See all HMGB1 ELISA Kits
HMGB1 (High Mobility Group Box 1 (HMGB1))

Reactivity

  • 9
  • 9
  • 8
  • 4
  • 3
  • 2
  • 2
  • 2
  • 2
  • 1
  • 1
  • 1
Mouse

Detection Method

Colorimetric

Method Type

Sandwich ELISA

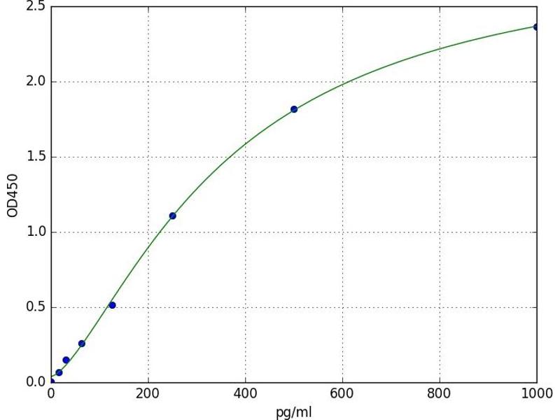
Detection Range

15.625 pg/mL - 1000 pg/mL

Application

ELISA

Sample Type

Plasma, Serum, Tissue Homogenate
  • Minimum Detection Limit

    15.625 pg/mL

    Purpose

    For quantitative detection of Hmgb1 in serum, plasma, tissue homogenates.

    Analytical Method

    Quantitative

    Specificity

    This assay has high sensitivity and excellent specificity for detection of Hmgb1. No significant cross-reactivity or interference between Hmgb1 and analogues was observed. Note: Limited by current skills and knowledge, it is difficult for us to complete the cross-reactivity detection between Hmgb1 and all the analogues, therefore, cross reaction may still exist.

    Sensitivity

    9.375 pg/mL

    Components

    - ELISA Microplate
    - Lyophilized Standard
    - Sample / Standard Dilution Buffer
    - Biotin-labeled Antibody (Concentrated)
    - Antibody Dilution Buffer
    - HRP-Streptavidin Conjugate(SABC)
    - SABC Dilution Buffer
    - TMB Substrate
    - Stop Solution
    - Wash Buffer (25X)
    - Plate Sealer
    - Product Description
  • Application Notes

    Optimal working dilution should be determined by the investigator.

    Comment

    Sandwich ELISA, Double Antibody

    Sample Volume

    100 μL

    Plate

    Pre-coated

    Restrictions

    For Research Use only
  • Storage

    4 °C

    Storage Comment

    1. For unopened kit: All the reagents should be kept according to the labels on vials. The Reference Standard and the 96-well stripe plate should be stored at -20 °C upon receipt while the other reagents should be stored at 4 °C.
    2. For used kit: When the kit is used, the remaining reagents need to be stored according to the above storage condition. Besides, please return the unused wells to the foil pouch containing the desiccant pack, and zip-seal the foil pouch.

    Expiry Date

    6 months
  • Target See all HMGB1 ELISA Kits

    HMGB1 (High Mobility Group Box 1 (HMGB1))

    Alternative Name

    Hmgb1

    Background

    Hmgb1/HMG-1/Amphoterin/high mobility group box 1/High mobility group protein 1/high-mobility group(nonhistone chromosomal) protein 1/high-mobility group box 1/HMG-1/HMG1DKFZp686A04236/HMG3/SBP-1/Sulfoglucuronyl carbohydrate binding protein

    UniProt

    P63158

    Pathways

    p53 Signaling, Regulation of Muscle Cell Differentiation, Skeletal Muscle Fiber Development, Positive Regulation of Endopeptidase Activity, Regulation of Carbohydrate Metabolic Process, Toll-Like Receptors Cascades, Smooth Muscle Cell Migration, Inflammasome
You are here:
Chat with us!