Phone:
+1 877 302 8632
Fax:
+1 888 205 9894 (Toll-free)
E-Mail:
orders@antibodies-online.com

IL-6 ELISA Kit

The Mouse IL-6 ELISA Kit (ABIN5523461) is a Colorimetric ELISA Kit designed to quantify Mouse IL-6. This ELISA Kit has been cited in 1 publication.
Catalog No. ABIN5523461
$577.85
Plus shipping costs $50.00
96 tests
Shipping to: United States
Delivery in 13 to 17 Business Days

Quick Overview for IL-6 ELISA Kit (ABIN5523461)

Target

See all IL-6 (IL6) ELISA Kits
IL-6 (IL6) (Interleukin 6 (IL6))

Reactivity

  • 29
  • 21
  • 18
  • 12
  • 10
  • 9
  • 9
  • 8
  • 7
  • 5
  • 4
  • 4
  • 3
  • 3
  • 2
  • 2
  • 1
  • 1
  • 1
  • 1
Mouse

Detection Method

Colorimetric

Method Type

Sandwich ELISA

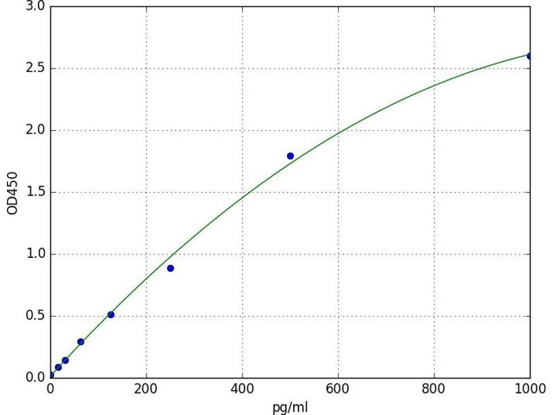
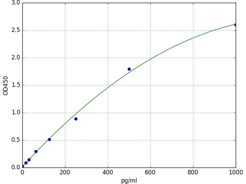
Detection Range

15.625 pg/mL - 1000 pg/mL

Application

ELISA

Sample Type

Plasma, Serum, Tissue Homogenate
  • Minimum Detection Limit

    15.625 pg/mL

    Purpose

    For quantitative detection of IL-6 in serum, plasma, tissue homogenates.

    Analytical Method

    Quantitative

    Specificity

    This assay has high sensitivity and excellent specificity for detection of IL-6. No significant cross-reactivity or interference between IL-6 and analogues was observed. Note: Limited by current skills and knowledge, it is difficult for us to complete the cross-reactivity detection between IL-6 and all the analogues, therefore, cross reaction may still exist.

    Sensitivity

    9.375 pg/mL

    Components

    - ELISA Microplate
    - Lyophilized Standard
    - Sample / Standard Dilution Buffer
    - Biotin-labeled Antibody (Concentrated)
    - Antibody Dilution Buffer
    - HRP-Streptavidin Conjugate(SABC)
    - SABC Dilution Buffer
    - TMB Substrate
    - Stop Solution
    - Wash Buffer (25X)
    - Plate Sealer
    - Product Description
  • Application Notes

    Optimal working dilution should be determined by the investigator.

    Comment

    Sandwich ELISA, Double Antibody

    Sample Volume

    100 μL

    Plate

    Pre-coated

    Restrictions

    For Research Use only
  • Storage

    4 °C

    Storage Comment

    1. For unopened kit: All the reagents should be kept according to the labels on vials. The Reference Standard and the 96-well stripe plate should be stored at -20 °C upon receipt while the other reagents should be stored at 4 °C.
    2. For used kit: When the kit is used, the remaining reagents need to be stored according to the above storage condition. Besides, please return the unused wells to the foil pouch containing the desiccant pack, and zip-seal the foil pouch.

    Expiry Date

    6 months
  • Twayana, Chaudhari, Ravanan: "Prolonged lipopolysaccharide exposure induces transient immunosuppression in BV2 microglia." in: Journal of cellular physiology, Vol. 234, Issue 2, pp. 1889-1903, (2019) (PubMed).

  • Target See all IL-6 (IL6) ELISA Kits

    IL-6 (IL6) (Interleukin 6 (IL6))

    Alternative Name

    IL-6

    Background

    IL-6(Interleukin 6)/IL6/BSF2/HGF/HSF/IFNB2/CDF

    UniProt

    P08505

    Pathways

    TLR Signaling, Hormone Transport, Negative Regulation of Hormone Secretion, Myometrial Relaxation and Contraction, Positive Regulation of Immune Effector Process, Production of Molecular Mediator of Immune Response, Regulation of Carbohydrate Metabolic Process, Autophagy, Cell RedoxHomeostasis, Cancer Immune Checkpoints, Inflammasome
You are here:
Chat with us!